Online Database of Chemicals from Around the World

培洛霉素硫酸盐
[CAS# 68247-85-8]

供应商
BOC Sciences 美国 询价快递  
+1 (631) 485-4226
info@bocsci.com
Skype 聊天
化学品供销商
chemBlink 集群供应商(2012 年起)
Glentham Life Sciences 英国 询价快递  
+44 (2033) 978-798
info@glenthamls.com
化学品供销商(2013 年起)
International Laboratory Limited 美国 询价快递  
+1 (650) 278-9963
admin@intlab.org
化学品生产商(2002 年起)
基本信息
产品名称 培洛霉素硫酸盐
英文名 Pepleomycin Sulfate
别名 [2-[2-[2-[[6-Amino-2-[3-Amino-1-[(2,3-Diamino-3-Oxo-Propyl)Amino]-3-Oxo-Propyl]-5-Methyl-Pyrimidine-4-Carbonyl]Amino]-3-[[2-Hydroxy-4-[[2-Hydroxy-1-[2-[4-[4-[3-(1-Phenylethylamino)Propylcarbamoyl]Thiazol-2-Yl]Thiazol-2-Yl]Ethylcarbamoyl]Propyl]Amino]-1,3-Dimethyl-4-Oxo-Butyl]Amino]-1-(3H-Imidazol-4-Yl)-3-Oxo-Propoxy]-4,5-Dihydroxy-6-(Hydroxymethyl)Tetrahydropyran-3-Yl]Oxy-3,5-Dihydroxy-6-(Hydroxymethyl)Tetrahydropyran-4-Yl] Carbamate; Sulfuric Acid; Carbamic Acid [2-[[2-[2-[[[6-Amino-2-[3-Amino-1-[(2,3-Diamino-3-Oxopropyl)Amino]-3-Oxopropyl]-5-Methyl-4-Pyrimidinyl]-Oxomethyl]Amino]-3-[[2-Hydroxy-4-[[2-Hydroxy-1-[Oxo-[2-[4-[4-[Oxo-[3-(1-Phenylethylamino)Propylamino]Methyl]-2-Thiazolyl]-2-Thiazolyl]Ethylamino]Methyl]Propyl]Amino]-1,3-Dimethyl-4-Oxobutyl]Amino]-1-(3H-Imidazol-4-Yl)-3-Oxopropoxy]-4,5-Dihydroxy-6-(Hydroxymethyl)-3-Tetrahydropyranyl]Oxy]-3,5-Dihydroxy-6-(Hydroxymethyl)-4-Tetrahydropyranyl] Ester; Sulfuric Acid; Carbamic Acid [2-[2-[2-[[6-Amino-2-[3-Amino-1-[(2,3-Diamino-3-Keto-Propyl)Amino]-3-Keto-Propyl]-5-Methyl-Pyrimidine-4-Carbonyl]Amino]-3-[[2-Hydroxy-4-[[2-Hydroxy-1-[2-[4-[4-[3-(1-Phenylethylamino)Propylcarbamoyl]Thiazol-2-Yl]Thiazol-2-Yl]Ethylcarbamoyl]Propyl]Amino]-4-Keto-1,3-Dimethyl-Butyl]Amino]-1-(3H-Imidazol-4-Yl)-3-Keto-Propoxy]-4,5-Dihydroxy-6-Methylol-Tetrahydropyran-3-Yl]Oxy-3,5-Dihydroxy-6-Methylol-Tetrahydropyran-4-Yl] Ester; Sulfuric Acid
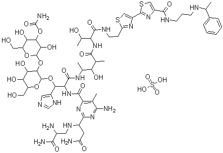
分子结构 CAS 登录号:68247-85-8, 培洛霉素硫酸盐
分子式 C61H90N18O25S3
分子量 1571.67
CAS 登录号 68247-85-8
EINECS 登录号 269-484-0
分子行输入简码 SMILES C1=C([NH]C=N1)C(OC2OC(C(O)C(O)C2OC3OC(C(O)C(OC(=O)N)C3O)CO)CO)C(NC(=O)C4=C(C(=NC(=N4)C(NCC(N)C(=O)N)CC(=O)N)N)C)C(=O)NC(C(O)C(C)C(=O)NC(C(O)C)C(=O)NCCC5=NC(=CS5)C6=NC(=CS6)C(=O)NCCCNC(C7=CC=CC=C7)C)C.O=[S](O)(O)=O
国际化学标识码 InChI 1S/C61H88N18O21S2.H2O4S/c1-24-39(76-52(79-50(24)64)31(16-37(63)83)71-17-30(62)51(65)89)56(93)78-41(47(32-18-67-23-72-32)98-60-49(45(87)43(85)35(19-80)97-60)99-59-46(88)48(100-61(66)95)44(86)36(20-81)96-59)57(94)73-27(4)42(84)25(2)53(90)77-40(28(5)82)55(92)70-15-12-38-74-34(22-101-38)58-75-33(21-102-58)54(91)69-14-9-13-68-26(3)29-10-7-6-8-11-29;1-5(2,3)4/h6-8,10-11,18,21-23,25-28,30-31,35-36,40-49,59-60,68,71,80-82,84-88H,9,12-17,19-20,62H2,1-5H3,(H2,63,83)(H2,65,89)(H2,66,95)(H,67,72)(H,69,91)(H,70,92)(H,73,94)(H,77,90)(H,78,93)(H2,64,76,79);(H2,1,2,3,4)
国际化学标识检索码 InChIKey ZHHIHQFAUZZMTG-UHFFFAOYSA-N
物理化学性质
沸点 1836.4°C at 760 mmHg (计算值)
闪点 1064.4°C (计算值)
市场分析报告
请浏览培洛霉素硫酸盐市场分析报告总目录
相关产品
三(十二烷基)磷酸酯  1,2-环戊烷二羧二甲酯  N-(4-(氨基磺酰基)-2-氯苯基)-乙酰胺  1,4-二氢-6-甲基-4-氧代-1-苯基-3-哒...  季戊四醇二山嵛酸酯  4-氨基-6-[2-[5-[(4-氨基-6-氯-1...  1-[5-甲基-7-(1-甲基乙基)双环[2.2....  5-癸炔-1-醇  1-(1,3-二氧戊环-2-基甲基)-哌嗪  6-氯-2H-1-苯并吡喃-3-羧酸甲酯  N-[2-(羧基甲氧基)乙基]-N-[2-[(1-...  3,3'-[(二丁基锡烷亚基)二(硫代)]二-1,...  alpha-[2-[乙基[(1,1,2,2,3,3...  alpha-[2-[乙基[(1,1,2,2,3,3...  硫酸单异癸基酯钠盐(1:1)