基本信息
| 产品名称 |
季戊四醇二山嵛酸酯 |
| 英文名 |
Pentaerythritol Dibehenate |
| 别名 |
Docosanoic Acid [2,2-Bis(Hydroxymethyl)-3-(1-Oxodocosoxy)Propyl] Ester; Behenic Acid [2-(Docosanoyloxymethyl)-3-Hydroxy-2-Methylol-Propyl] Ester |
|
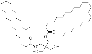
| 分子结构 |
 |
| 分子式 |
C49H96O6 |
| 分子量 |
781.29 |
| CAS 登录号 |
68258-72-0 |
| EINECS 登录号 |
269-495-0 |
| 分子行输入简码 SMILES |
C(OC(=O)CCCCCCCCCCCCCCCCCCCCC)C(COC(=O)CCCCCCCCCCCCCCCCCCCCC)(CO)CO |
| 国际化学标识码 InChI |
1S/C49H96O6/c1-3-5-7-9-11-13-15-17-19-21-23-25-27-29-31-33-35-37-39-41-47(52)54-45-49(43-50,44-51)46-55-48(53)42-40-38-36-34-32-30-28-26-24-22-20-18-16-14-12-10-8-6-4-2/h50-51H,3-46H2,1-2H3 |
| 国际化学标识检索码 InChIKey |
WIWNPEDDOAMGGM-UHFFFAOYSA-N |
|