Online Database of Chemicals from Around the World

甲基6,7,10,11-四[(三甲基硅烷基)氧基]硬脂酸酯
[CAS# 35508-15-7]

供应商
Achemica 瑞士 询价快递  
+41 (24) 466-2929
contact@achemica.com
化学品生产商(2010 年起)
基本信息
产品名称 甲基6,7,10,11-四[(三甲基硅烷基)氧基]硬脂酸酯
英文名 Methyl 6,7,10,11-Tetrakis[(Trimethylsilyl)Oxy]Octadecanoate
别名 Methyl 6,7,10,11-tetrakis[(trimethylsilyl)oxy]octadecanoate #
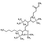
分子结构 CAS 登录号:35508-15-7, 甲基6,7,10,11-四[(三甲基硅烷基)氧基]硬脂酸酯
分子式 C31H70O6Si4
分子量 651.23
CAS 登录号 35508-15-7
分子行输入简码 SMILES O=C(OC)CCCCC(O[Si](C)(C)C)C(O[Si](C)(C)C)CCC(O[Si](C)(C)C)C(O[Si](C)(C)C)CCCCCCC
国际化学标识码 InChI 1S/C31H70O6Si4/c1-15-16-17-18-19-22-27(34-38(3,4)5)29(36-40(9,10)11)25-26-30(37-41(12,13)14)28(35-39(6,7)8)23-20-21-24-31(32)33-2/h27-30H,15-26H2,1-14H3
国际化学标识检索码 InChIKey IJMCCERLZNCXKB-UHFFFAOYSA-N
物理化学性质
密度 0.913g/cm3 (计算值)
沸点 545.829°C at 760 mmHg (计算值)
闪点 235.809°C (计算值)
市场分析报告
请浏览甲基6,7,10,11-四[(三甲基硅烷基)氧基]硬脂酸酯市场分析报告总目录
相关产品
甲基8,9,15,16-四[(三甲基硅烷基)氧基]...  (1S,2R)-1-乙炔基-2-甲氧基环戊烯并n醇  [(2S,3R)-2-异丙基-4-氧代-氮杂环丁-...  2-乙基-1-(2-甲基-2-丙烯-1-基)-1H...  3-乙基-1-(2-甲基-2-丙烯-1-基)-1H...  6-甲基-5,6-二氢吲嗪  5-甲基-5,6-二氢吲嗪  (1S,5R,8S)-5,8-二羟基-6-氧杂-3...  (2S,3R,4R,5R)-5-甲基-2,3,4-...  (4R,5R)-5-甲基-3,3,4-哌啶三醇  4-(4-甲氧基苯基)-1H-咪唑  1-氨基-2-羟基-5-氧代八氢-1-并环戊二烯羧...  螺[7-氮杂双环[2.2.1]庚烷-2,2'-[1...  N-[(2-甲氧基-1-萘基)甲基]-2-苯基乙胺  2-(5H-四唑-5-基)吡啶