Online Database of Chemicals from Around the World

甲基8,9,15,16-四[(三甲基硅烷基)氧基]硬脂酸酯
[CAS# 35508-17-9]

供应商
CAS#: 35508-17-9
产品: 甲基8,9,15,16-四[(三甲基硅烷基)氧基]硬脂酸酯
暂时没有厂家供应该产品。
基本信息
产品名称 甲基8,9,15,16-四[(三甲基硅烷基)氧基]硬脂酸酯
英文名 Methyl 8,9,15,16-Tetrakis[(Trimethylsilyl)Oxy]Octadecanoate
别名 Methyl 8,9,15,16-tetrakis[(trimethylsilyl)oxy]octadecanoate #
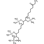
分子结构 CAS 登录号:35508-17-9, 甲基8,9,15,16-四[(三甲基硅烷基)氧基]硬脂酸酯
分子式 C31H70O6Si4
分子量 651.23
CAS 登录号 35508-17-9
分子行输入简码 SMILES O=C(OC)CCCCCCC(O[Si](C)(C)C)C(O[Si](C)(C)C)CCCCCC(O[Si](C)(C)C)C(O[Si](C)(C)C)CC
国际化学标识码 InChI 1S/C31H70O6Si4/c1-15-27(34-38(3,4)5)28(35-39(6,7)8)23-20-18-21-25-30(37-41(12,13)14)29(36-40(9,10)11)24-19-16-17-22-26-31(32)33-2/h27-30H,15-26H2,1-14H3
国际化学标识检索码 InChIKey NJYNZYUTOAKIFI-UHFFFAOYSA-N
物理化学性质
密度 0.913g/cm3 (计算值)
沸点 547.053°C at 760 mmHg (计算值)
闪点 236.423°C (计算值)
市场分析报告
请浏览甲基8,9,15,16-四[(三甲基硅烷基)氧基]硬脂酸酯市场分析报告总目录
相关产品
(1S,2R)-1-乙炔基-2-甲氧基环戊烯并n醇  [(2S,3R)-2-异丙基-4-氧代-氮杂环丁-...  2-乙基-1-(2-甲基-2-丙烯-1-基)-1H...  3-乙基-1-(2-甲基-2-丙烯-1-基)-1H...  6-甲基-5,6-二氢吲嗪  5-甲基-5,6-二氢吲嗪  (1S,5R,8S)-5,8-二羟基-6-氧杂-3...  (2S,3R,4R,5R)-5-甲基-2,3,4-...  (4R,5R)-5-甲基-3,3,4-哌啶三醇  4-(4-甲氧基苯基)-1H-咪唑  1-氨基-2-羟基-5-氧代八氢-1-并环戊二烯羧...  螺[7-氮杂双环[2.2.1]庚烷-2,2'-[1...  N-[(2-甲氧基-1-萘基)甲基]-2-苯基乙胺  2-(5H-四唑-5-基)吡啶  2-氯-5-(5-甲酰基-2-呋喃基)苯甲酸