Online Database of Chemicals from Around the World

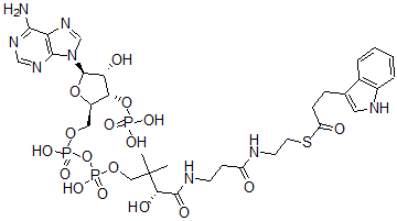
S-[2-[3-[[(2R)-4-[[[(2R,3S,4R,5R)-5-(6-氨基嘌呤-9-基)-4-羟基-3-膦酰氧基四氢呋喃-2-基]甲氧基-羟基磷酰]氧基-羟基磷酰]氧基-2-羟基-3,3-二甲基丁酰基]氨基]丙酰氨基]乙基]3-(1H-吲哚-3-基)硫代丙酸酯
[CAS# 144319-97-1]

供应商
CAS#: 144319-97-1
产品: S-[2-[3-[[(2R)-4-[[[(2R,3S,4R,5R)-5-(6-氨基嘌呤-9-基)-4-羟基-3-膦酰氧基四氢呋喃-2-基]甲氧基-羟基磷酰]氧基-羟基磷酰]氧基-2-羟基-3,3-二甲基丁酰基]氨基]丙酰氨基]乙基]3-(1H-吲哚-3-基)硫代丙酸酯
暂时没有厂家供应该产品。
基本信息
产品名称 S-[2-[3-[[(2R)-4-[[[(2R,3S,4R,5R)-5-(6-氨基嘌呤-9-基)-4-羟基-3-膦酰氧基四氢呋喃-2-基]甲氧基-羟基磷酰]氧基-羟基磷酰]氧基-2-羟基-3,3-二甲基丁酰基]氨基]丙酰氨基]乙基]3-(1H-吲哚-3-基)硫代丙酸酯
英文名 S-[2-[3-[[(2R)-4-[[[(2R,3S,4R,5R)-5-(6-Aminopurin-9-Yl)-4-Hydroxy-3-Phosphonooxyoxolan-2-Yl]Methoxy-Hydroxyphosphoryl]Oxy-Hydroxyphosphoryl]Oxy-2-Hydroxy-3,3-Dimethylbutanoyl]Amino]Propanoylamino]Ethyl] 3-(1H-Indol-3-Yl)Propanethioate
别名 S-[2-[3-[[(2R)-4-[[[(2R,3S,4R,5R)-5-(6-Aminopurin-9-Yl)-4-Hydroxy-3-Phosphonooxy-Tetrahydrofuran-2-Yl]Methoxy-Hydroxy-Phosphoryl]Oxy-Hydroxy-Phosphoryl]Oxy-2-Hydroxy-3,3-Dimethyl-Butanoyl]Amino]Propanoylamino]Ethyl] 3-(1H-Indol-3-Yl)Propanethioate; 3-(1H-Indol-3-Yl)Propanethioic Acid S-[2-[[3-[[(2R)-4-[[[(2R,3S,4R,5R)-5-(6-Amino-9-Purinyl)-4-Hydroxy-3-Phosphonooxy-2-Tetrahydrofuranyl]Methoxy-Hydroxyphosphoryl]Oxy-Hydroxyphosphoryl]Oxy-2-Hydroxy-3,3-Dimethyl-1-Oxobutyl]Amino]-1-Oxopropyl]Amino]Ethyl] Ester; 3-(1H-Indol-3-Yl)Propanethioic Acid S-[2-[3-[[(2R)-4-[[[(2R,3S,4R,5R)-5-(6-Aminopurin-9-Yl)-4-Hydroxy-3-Phosphonooxy-Tetrahydrofuran-2-Yl]Methoxy-Hydroxy-Phosphoryl]Oxy-Hydroxy-Phosphoryl]Oxy-2-Hydroxy-3,3-Dimethyl-Butanoyl]Amino]Propanoylamino]Ethyl] Ester
分子结构 CAS 登录号:144319-97-1, S-[2-[3-[[(2R)-4-[[[(2R,3S,4R,5R)-5-(6-氨基嘌呤-9-基)-4-羟基-3-膦酰氧基四氢呋喃-2-基]甲氧基-羟基磷酰]氧基-羟基磷酰]氧基-2-羟基-3,3-二甲基丁酰基]氨基]丙酰氨基]乙基]3-(1H-吲哚-3-基)硫代丙酸酯
分子式 C32H45N8O17P3S
分子量 938.73
CAS 登录号 144319-97-1
分子行输入简码 SMILES [C@H]1(O[C@@H]([C@@H](O[P](=O)(O)O)[C@H]1O)CO[P](O[P](OCC([C@@H](O)C(=O)NCCC(=O)NCCSC(=O)CCC2=C[NH]C3=C2C=CC=C3)(C)C)(=O)O)(=O)O)[N]4C5=C(N=C4)C(=NC=N5)N
国际化学标识码 InChI 1S/C32H45N8O17P3S/c1-32(2,27(44)30(45)35-10-9-22(41)34-11-12-61-23(42)8-7-18-13-36-20-6-4-3-5-19(18)20)15-54-60(51,52)57-59(49,50)53-14-21-26(56-58(46,47)48)25(43)31(55-21)40-17-39-24-28(33)37-16-38-29(24)40/h3-6,13,16-17,21,25-27,31,36,43-44H,7-12,14-15H2,1-2H3,(H,34,41)(H,35,45)(H,49,50)(H,51,52)(H2,33,37,38)(H2,46,47,48)/t21-,25-,26-,27+,31-/m1/s1
国际化学标识检索码 InChIKey IXFKVXFSQBQASQ-GRBGHKMPSA-N
物理化学性质
密度 1.813g/cm3 (计算值)
市场分析报告
请浏览S-[2-[3-[[(2R)-4-[[[(2R,3S,4R,5R)-5-(6-氨基嘌呤-9-基)-4-羟基-3-膦酰氧基四氢呋喃-2-基]甲氧基-羟基磷酰]氧基-羟基磷酰]氧基-2-羟基-3,3-二甲基丁酰基]氨基]丙酰氨基]乙基]3-(1H-吲哚-3-基)硫代丙酸酯市场分析报告总目录
相关产品
S-[2-[3-[[(2R)-4-[[[(2R,3...  2-(3-氯苯基)-4-甲硫基-6-[3-(三氟甲...  2-(3-氯苯基)-4-乙氧基-6-[3-(三氟甲...  2-(2-氯苯基)-4-乙氧基-6-[3-(三氟甲...  N'-氰基-N-(6,11-二氢-5H-苯并[c]...  1-[19-氨基-7,10-二(2-氨基-2-氧代...  1-[19-氨基-7,10-二(2-氨基-2-氧代...  3-氟丙烷-1-磺酸酯  2,2'-[[[4-(氨基羰基)苯基]砷亚基]二(...  氰基铁酸铁  3,3-二{[(二甲基氨基)硫代甲酰]硫代}-N,...  二(2,4-二甲基吡啶)二氯铜酸盐(II)  3,9-二(苯氧基)-2,4,8,10-四氧杂-3...  N-(1-苯乙基-4-哌啶基)丙酰苯胺盐酸盐  [(3S,6S,8R,9S,10R,13S,14S...