Online Database of Chemicals from Around the World

1-[19-氨基-7,10-二(2-氨基-2-氧代乙基)-16-[(4-羟基苯基)甲基]-6,9,12,15,18-五氧代-13-(苯基甲基)1,2-二硫杂-5,8,11,14,17-五氮杂环二十烷-4-羰基]-N-[1-[(2-氨基-2-氧代乙基)氨基]-3-甲基-1-氧代丁烷-2-基]吡咯烷-2-甲酰胺
[CAS# 144334-53-2]

基本信息
产品名称 1-[19-氨基-7,10-二(2-氨基-2-氧代乙基)-16-[(4-羟基苯基)甲基]-6,9,12,15,18-五氧代-13-(苯基甲基)1,2-二硫杂-5,8,11,14,17-五氮杂环二十烷-4-羰基]-N-[1-[(2-氨基-2-氧代乙基)氨基]-3-甲基-1-氧代丁烷-2-基]吡咯烷-2-甲酰胺
英文名 1-[19-Amino-7,10-Bis(2-Amino-2-Oxoethyl)-16-[(4-Hydroxyphenyl)Methyl]-6,9,12,15,18-Pentaoxo-13-(Phenylmethyl)1,2-Dithia-5,8,11,14,17-Pentazacycloicosane-4-Carbonyl]-N-[1-[(2-Amino-2-Oxoethyl)Amino]-3-Methyl-1-Oxobutan-2-Yl]Pyrrolidine-2-Carboxamide
别名 1-[19-Amino-7,10-Bis(2-Amino-2-Oxo-Ethyl)-16-[(4-Hydroxyphenyl)Methyl]-6,9,12,15,18-Pentaoxo-13-(Phenylmethyl)1,2-Dithia-5,8,11,14,17-Pentazacycloicosane-4-Carbonyl]-N-[1-[(2-Amino-2-Oxo-Ethyl)Carbamoyl]-2-Methyl-Propyl]Pyrrolidine-2-Carboxamide; 1-[[19-Amino-7,10-Bis(2-Amino-2-Oxoethyl)-16-[(4-Hydroxyphenyl)Methyl]-6,9,12,15,18-Pentaoxo-13-(Phenylmethyl)-1,2-Dithia-5,8,11,14,17-Pentazacycloicos-4-Yl]-Oxomethyl]-N-[1-[[(2-Amino-2-Oxoethyl)Amino]-Oxomethyl]-2-Methylpropyl]-2-Pyrrolidinecarboxamide; 1-[19-Amino-7,10-Bis(2-Amino-2-Keto-Ethyl)-13-(Benzyl)-16-(4-Hydroxybenzyl)-6,9,12,15,18-Pentaketo-1,2-Dithia-5,8,11,14,17-Pentazacycloicosane-4-Carbonyl]-N-[1-[(2-Amino-2-Keto-Ethyl)Carbamoyl]-2-Methyl-Propyl]Pyrrolidine-2-Carboxamide
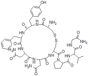
分子结构 CAS 登录号:144334-53-2, 1-[19-氨基-7,10-二(2-氨基-2-氧代乙基)-16-[(4-羟基苯基)甲基]-6,9,12,15,18-五氧代-13-(苯基甲基)1,2-二硫杂-5,8,11,14,17-五氮杂环二十烷-4-羰基]-N-[1-[(2-氨基-2-氧代乙基)氨基]-3-甲基-1-氧代丁烷-2-基]吡咯烷-2-甲酰胺
分子式 C44H60N12O12S2
分子量 1013.15
CAS 登录号 144334-53-2
分子行输入简码 SMILES C4=C(CC1NC(=O)C(N)CSSCC(NC(=O)C(NC(=O)C(NC(=O)C(NC1=O)CC2=CC=CC=C2)CC(=O)N)CC(=O)N)C(=O)N3C(C(=O)NC(C(=O)NCC(=O)N)C(C)C)CCC3)C=CC(=C4)O
国际化学标识码 InChI 1S/C44H60N12O12S2/c1-22(2)36(43(67)49-19-35(48)60)55-42(66)32-9-6-14-56(32)44(68)31-21-70-69-20-26(45)37(61)50-27(16-24-10-12-25(57)13-11-24)38(62)51-28(15-23-7-4-3-5-8-23)39(63)52-29(17-33(46)58)40(64)53-30(18-34(47)59)41(65)54-31/h3-5,7-8,10-13,22,26-32,36,57H,6,9,14-21,45H2,1-2H3,(H2,46,58)(H2,47,59)(H2,48,60)(H,49,67)(H,50,61)(H,51,62)(H,52,63)(H,53,64)(H,54,65)(H,55,66)
国际化学标识检索码 InChIKey DAHCMEORVXDYEP-UHFFFAOYSA-N
物理化学性质
密度 1.317g/cm3 (计算值)
沸点 1583.764°C at 760 mmHg (计算值)
闪点 911.627°C (计算值)
市场分析报告
请浏览1-[19-氨基-7,10-二(2-氨基-2-氧代乙基)-16-[(4-羟基苯基)甲基]-6,9,12,15,18-五氧代-13-(苯基甲基)1,2-二硫杂-5,8,11,14,17-五氮杂环二十烷-4-羰基]-N-[1-[(2-氨基-2-氧代乙基)氨基]-3-甲基-1-氧代丁烷-2-基]吡咯烷-2-甲酰胺市场分析报告总目录
相关产品
3-氟丙烷-1-磺酸酯  2,2'-[[[4-(氨基羰基)苯基]砷亚基]二(...  氰基铁酸铁  3,3-二{[(二甲基氨基)硫代甲酰]硫代}-N,...  二(2,4-二甲基吡啶)二氯铜酸盐(II)  3,9-二(苯氧基)-2,4,8,10-四氧杂-3...  N-(1-苯乙基-4-哌啶基)丙酰苯胺盐酸盐  [(3S,6S,8R,9S,10R,13S,14S...  6-氨基-2,4(3H,5H)-嘧啶二酮  6alpha-脱氧-6alpha-(4-((六氢-...  甲基对甲苯磺酰基氨基甲酸酯  N,5-二甲基-2-[4-甲基-2-[4-甲基-2...  [(1R,2S,3S,4S,5R,6S)-5-氟-...  燕麦酯  3-碘-N-(3,4-二碘苯基)-2-羟基苯甲酰胺