Online Database of Chemicals from Around the World

(1R-(1alpha,2alpha,3beta,9beta,13alpha,17beta,18alpha,19beta))-2,8,13,18-四(羧甲基)-7,8,11,12-四去氢-9,10,11,22-四氢-3,9,13,18,19-五甲基-3,7,12,17-咕啉四丙酸
[CAS# 139663-55-1]

供应商
CAS#: 139663-55-1
产品: (1R-(1alpha,2alpha,3beta,9beta,13alpha,17beta,18alpha,19beta))-2,8,13,18-四(羧甲基)-7,8,11,12-四去氢-9,10,11,22-四氢-3,9,13,18,19-五甲基-3,7,12,17-咕啉四丙酸
暂时没有厂家供应该产品。
基本信息
产品名称 (1R-(1alpha,2alpha,3beta,9beta,13alpha,17beta,18alpha,19beta))-2,8,13,18-四(羧甲基)-7,8,11,12-四去氢-9,10,11,22-四氢-3,9,13,18,19-五甲基-3,7,12,17-咕啉四丙酸
英文名 (1R-(1alpha,2alpha,3beta,9beta,13alpha,17beta,18alpha,19beta))-2,8,13,18-Tetrakis(Carboxymethyl)-7,8,11,12-Tetradehydro-9,10,11,22-Tetrahydro-3,9,13,18,19-Pentamethyl-3,7,12,17-Corrintetrapropanoic Acid
别名 Cpd-679; Precorrin-6Y
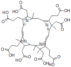
分子结构 CAS 登录号:139663-55-1, (1R-(1alpha,2alpha,3beta,9beta,13alpha,17beta,18alpha,19beta))-2,8,13,18-四(羧甲基)-7,8,11,12-四去氢-9,10,11,22-四氢-3,9,13,18,19-五甲基-3,7,12,17-咕啉四丙酸
分子式 C44H56N4O16
分子量 896.94
CAS 登录号 139663-55-1
分子行输入简码 SMILES C(C5(C2(NC(=C\C1=NC(=C(C1(CC(O)=O)C)CCC(O)=O)CC4(N=C(/C=C/3NC2C(C3(CCC(O)=O)C)CC(O)=O)C(=C4CC(O)=O)CCC(O)=O)C)/C5CCC(O)=O)C)C)C(O)=O
国际化学标识码 InChI 1S/C44H56N4O16/c1-40(13-12-34(55)56)25(15-36(59)60)39-44(5)42(3,20-38(63)64)23(8-11-33(53)54)27(48-44)17-30-41(2,19-37(61)62)22(7-10-32(51)52)28(45-30)18-43(4)24(14-35(57)58)21(6-9-31(49)50)26(47-43)16-29(40)46-39/h16-17,23,25,39,46,48H,6-15,18-20H2,1-5H3,(H,49,50)(H,51,52)(H,53,54)(H,55,56)(H,57,58)(H,59,60)(H,61,62)(H,63,64)/b27-17-,29-16-
国际化学标识检索码 InChIKey UZVGLSZJXWVSGT-PBOPUUKSSA-N
物理化学性质
密度 1.512g/cm3 (计算值)
沸点 1169.285°C at 760 mmHg (计算值)
闪点 660.96°C (计算值)
市场分析报告
请浏览(1R-(1alpha,2alpha,3beta,9beta,13alpha,17beta,18alpha,19beta))-2,8,13,18-四(羧甲基)-7,8,11,12-四去氢-9,10,11,22-四氢-3,9,13,18,19-五甲基-3,7,12,17-咕啉四丙酸市场分析报告总目录
相关产品
(1R-(1alpha,2alpha,3beta,...  铪二氢化物  膦基自由基  钌-106  钪-46  铯134  锶85  铈-141  2-[2-[(2E,6E)-3-(羟基甲基)-7-...  羟基离子  7-(羟基甲基)-2,4A,5,7alpha-四氢...  5-羟基-4,7-二甲氧基-2H-苯并[g]异喹啉...  烟酰苯丙胺    铀-233