基本信息
| 产品名称 |
(1R-(1alpha,2alpha,3beta,9beta,13alpha,17beta,18alpha,19beta))-2,13,18-三(羧甲基)-4,5,6,7,8,11,12,22-八去氢-4,5,6,9,10,11,21,22-八氢-3,5,8,9,13,15,18,19-八甲基-3,7,12,17-咕啉四丙酸 |
| 英文名 |
(1R-(1alpha,2alpha,3beta,9beta,13alpha,17beta,18alpha,19beta))-2,13,18-Tris(Carboxymethyl)-4,5,6,7,8,11,12,22-Octadehydro-4,5,6,9,10,11,21,22-Octahydro-3,5,8,9,13,15,18,19-Octamethyl-3,7,12,17-Corrintetrapropanoic Acid |
|
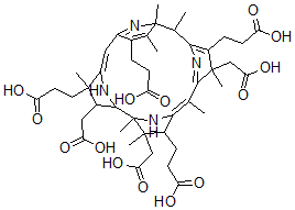
| 分子结构 |
 |
| 分子式 |
C45H60N4O14 |
| 分子量 |
880.99 |
| CAS 登录号 |
139663-56-2 |
| 分子行输入简码 SMILES |
C(C1(C)C(=C4N=C1C(=C/2NC(C(C2CCC(O)=O)(C)CC(O)=O)(C5C(C(CCC(O)=O)(\C(=C\C3=NC(C(=C3CCC(O)=O)C)(C4C)C)N5)C)CC(O)=O)C)/C)CCC(O)=O)C(O)=O |
| 国际化学标识码 InChI |
1S/C45H60N4O14/c1-21-37-26(11-14-32(54)55)43(6,20-36(62)63)45(8,49-37)40-27(17-34(58)59)41(4,16-15-33(56)57)29(46-40)18-28-24(9-12-30(50)51)22(2)44(7,48-28)23(3)38-25(10-13-31(52)53)42(5,19-35(60)61)39(21)47-38/h18,23,26-27,40,46,49H,9-17,19-20H2,1-8H3,(H,50,51)(H,52,53)(H,54,55)(H,56,57)(H,58,59)(H,60,61)(H,62,63)/b29-18-,37-21- |
| 国际化学标识检索码 InChIKey |
PSSCODUYIWEFBP-YBZAKIKXSA-N |
|