基本信息
| 产品名称 |
2-(10-羟基-14,14-二甲基-5-氧代-7-(((1-氧代十四烷基)氧基)甲基)-6,9,11-三氧杂-14-铵-10-磷杂十五碳-1-基)-4,4-二甲基-2-辛基-3-恶唑烷基氧基氢氧化物内盐P-氧化物 |
| 英文名 |
2-(10-Hydroxy-14,14-Dimethyl-5-Oxo-7-(((1-Oxotetradecyl)Oxy)Methyl)-6,9,11-Trioxa-14-Azonia-10-Phosphapentadec-1-Yl)-4,4-Dimethyl-2-Octyl-3-Oxazolidinyloxy Hydroxide Inner Salt P-Oxide |
| 别名 |
6-Dmpcsl; 1-Myristoyl-2-(6-(4,4-Dimethyloxazolidine-N-Oxyl)Myristoyl)-3-Phosphatidylcholine |
|
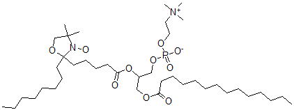
| 分子结构 |
 |
| 分子式 |
C40H78N2O10P |
| 分子量 |
778.04 |
| CAS 登录号 |
131483-46-0 |
| 分子行输入简码 SMILES |
[O]N1C(OCC1(C)C)(CCCCC(OC(CO[P](OCC[N+](C)(C)C)([O-])=O)COC(=O)CCCCCCCCCCCCC)=O)CCCCCCCC |
| 国际化学标识码 InChI |
1S/C40H78N2O10P/c1-8-10-12-14-16-17-18-19-20-21-23-27-37(43)48-33-36(34-51-53(46,47)50-32-31-42(5,6)7)52-38(44)28-24-26-30-40(29-25-22-15-13-11-9-2)41(45)39(3,4)35-49-40/h36H,8-35H2,1-7H3 |
| 国际化学标识检索码 InChIKey |
ZYCXVLAIMUIENS-UHFFFAOYSA-N |
|