Online Database of Chemicals from Around the World

[(2R)-2-(庚酰氨基)-3-膦酰氧基丙基]庚酸酯
[CAS# 131502-54-0]

供应商
CAS#: 131502-54-0
产品: [(2R)-2-(庚酰氨基)-3-膦酰氧基丙基]庚酸酯
暂时没有厂家供应该产品。
基本信息
产品名称 [(2R)-2-(庚酰氨基)-3-膦酰氧基丙基]庚酸酯
英文名 [(2R)-2-(Heptanoylamino)-3-Phosphonooxypropyl] Heptanoate
别名 [(2R)-2-(Heptanoylamino)-3-Phosphonooxy-Propyl] Heptanoate; Heptanoic Acid [(2R)-2-(1-Oxoheptylamino)-3-Phosphonooxypropyl] Ester; Enanthic Acid [(2R)-2-(Enanthylamino)-3-Phosphonooxy-Propyl] Ester
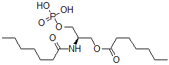
分子结构 CAS 登录号:131502-54-0, [(2R)-2-(庚酰氨基)-3-膦酰氧基丙基]庚酸酯
分子式 C17H34NO7P
分子量 395.43
CAS 登录号 131502-54-0
分子行输入简码 SMILES [C@@H](COC(CCCCCC)=O)(CO[P](=O)(O)O)NC(CCCCCC)=O
国际化学标识码 InChI 1S/C17H34NO7P/c1-3-5-7-9-11-16(19)18-15(14-25-26(21,22)23)13-24-17(20)12-10-8-6-4-2/h15H,3-14H2,1-2H3,(H,18,19)(H2,21,22,23)/t15-/m1/s1
国际化学标识检索码 InChIKey KPPUBDSHTSMHPL-OAHLLOKOSA-N
物理化学性质
密度 1.148g/cm3 (计算值)
市场分析报告
请浏览[(2R)-2-(庚酰氨基)-3-膦酰氧基丙基]庚酸酯市场分析报告总目录
相关产品
alpha,alpha-二甲基哌啶-1-乙醇  1-环丙基-4-(4-乙炔基苯基)-3,5,8-三...  4-(4-乙炔基苯基)-1-[(1R,2R)-2-...  4-(4-乙炔基苯基)-1-(3-氟苯基)-3,5...  4-(4-乙炔基苯基)-1-(2-氟苯基)-3,5...  4-(3,3-二苯基烯丙基)吗啉  2,6-二甲基癸烷  4-甲基-1-庚烯  钠[(2R,3S,4R,5R,6S)-5-羟基-2...  钠[(2S,3S,4S,5S,6R)-4-羟基-6...  顺式-5-甲基-2-己烯  3-甲基癸烷  5-甲基癸烷  (1R,2R,3R,5S)-3-[[(1R,2R,...  顺式-1,2-二甲基环庚烷