Online Database of Chemicals from Around the World

花翠素 3-芸香糖苷-7-O-(6-O-(4-(6-O-(4-羟基苯甲酰基)-beta-D-葡糖基)氧基苯甲酰基)-beta-D-葡糖苷)
[CAS# 126417-59-2]

供应商
CAS#: 126417-59-2
产品: 花翠素 3-芸香糖苷-7-O-(6-O-(4-(6-O-(4-羟基苯甲酰基)-beta-D-葡糖基)氧基苯甲酰基)-beta-D-葡糖苷)
暂时没有厂家供应该产品。
基本信息
产品名称 花翠素 3-芸香糖苷-7-O-(6-O-(4-(6-O-(4-羟基苯甲酰基)-beta-D-葡糖基)氧基苯甲酰基)-beta-D-葡糖苷)
英文名 Delphinidin 3-rutinoside-7-O-(6-O-(4-(6-O-(4-hydroxybenzoyl)-beta-D-glucosyl)oxybenzoyl)-beta-D-glucoside)
别名 [(2R,3S,4S,5R,6S)-3,4,5-Trihydroxy-6-[5-Hydroxy-2-(3,4,5-Trihydroxyphenyl)-3-[(2S,3R,4S,5S,6R)-3,4,5-Trihydroxy-6-[[(2R,3R,4R,5R,6S)-3,4,5-Trihydroxy-6-Methyl-Tetrahydropyran-2-Yl]Oxymethyl]Tetrahydropyran-2-Yl]Oxy-Chromenylium-7-Yl]Oxy-Tetrahydropyran-2-Yl]Methyl 4-[(2S,3R,4S,5S,6R)-3,4,5-Trihydroxy-6-[(4-Hydroxybenzoyl)Oxymethyl]Tetrahydropyran-2-Yl]Oxybenzoate; 4-[[(2S,3R,4S,5S,6R)-3,4,5-Trihydroxy-6-[[(4-Hydroxyphenyl)-Oxomethoxy]Methyl]-2-Tetrahydropyranyl]Oxy]Benzoic Acid [(2R,3S,4S,5R,6S)-3,4,5-Trihydroxy-6-[[5-Hydroxy-2-(3,4,5-Trihydroxyphenyl)-3-[[(2S,3R,4S,5S,6R)-3,4,5-Trihydroxy-6-[[(2R,3R,4R,5R,6S)-3,4,5-Trihydroxy-6-Methyl-2-Tetrahydropyranyl]Oxymethyl]-2-Tetrahydropyranyl]Oxy]-7-Chromenyliumyl]Oxy]-2-Tetrahydropyranyl]Methyl Ester; 4-[(2S,3R,4S,5S,6R)-3,4,5-Trihydroxy-6-[(4-Hydroxybenzoyl)Oxymethyl]Tetrahydropyran-2-Yl]Oxybenzoic Acid [(2R,3S,4S,5R,6S)-3,4,5-Trihydroxy-6-[[5-Hydroxy-2-(3,4,5-Trihydroxyphenyl)-3-[(2S,3R,4S,5S,6R)-3,4,5-Trihydroxy-6-[[(2R,3R,4R,5R,6S)-3,4,5-Trihydroxy-6-Methyl-Tetrahydropyran-2-Yl]Oxymethyl]Tetrahydropyran-2-Yl]Oxy-1-Benzopyrylium-7-Yl]Oxy]Tetrahydropyran-2-Yl]Methyl Ester
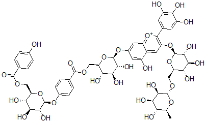
分子结构 CAS 登录号:126417-59-2, 花翠素 3-芸香糖苷-7-O-(6-O-(4-(6-O-(4-羟基苯甲酰基)-beta-D-葡糖基)氧基苯甲酰基)-beta-D-葡糖苷)
分子式 C53H59O30
分子量 1176.03
CAS 登录号 126417-59-2
分子行输入简码 SMILES [O+]1=C5C(=CC(=C1C2=CC(=C(C(=C2)O)O)O)O[C@H]3[C@@H]([C@@H](O)[C@@H]([C@H](O3)CO[C@H]4[C@@H]([C@H](O)[C@H]([C@@H](O4)C)O)O)O)O)C(=CC(=C5)O[C@H]6[C@@H]([C@@H](O)[C@@H]([C@H](O6)COC(C9=CC=C(O[C@H]7[C@@H]([C@@H](O)[C@@H]([C@H](O7)COC(C8=CC=C(C=C8)O)=O)O)O)C=C9)=O)O)O)O
国际化学标识码 InChI 1S/C53H58O30/c1-18-34(58)39(63)43(67)50(76-18)75-17-33-38(62)42(66)46(70)53(83-33)80-30-14-25-26(55)12-24(13-29(25)79-47(30)21-10-27(56)35(59)28(57)11-21)78-52-45(69)41(65)37(61)32(82-52)16-74-49(72)20-4-8-23(9-5-20)77-51-44(68)40(64)36(60)31(81-51)15-73-48(71)19-2-6-22(54)7-3-19/h2-14,18,31-34,36-46,50-53,58,60-70H,15-17H2,1H3,(H4-,54,55,56,57,59,71)/p+1/t18-,31+,32+,33+,34-,36+,37+,38+,39+,40-,41-,42-,43+,44+,45+,46+,50+,51+,52+,53+/m0/s1
国际化学标识检索码 InChIKey YODABPUZPVYDEF-CIBWSIAMSA-O
市场分析报告
请浏览花翠素 3-芸香糖苷-7-O-(6-O-(4-(6-O-(4-羟基苯甲酰基)-beta-D-葡糖基)氧基苯甲酰基)-beta-D-葡糖苷)市场分析报告总目录
相关产品
(2R,3R,4S,5S,6R)-2-[5-[3,...  二乙基[(3R)-3-甲基-1-环己烯基]磷酸酯  辅酶AS-(羟基乙酸酯)  5-氧代二十-6,8,11,14-四烯酸  (3Z)-5-碘-3-(3-氧代-1H-吲哚-2-...  2-羟基丙烷-1,2,3-三羧酸根  二(苯基)锑基硫基-二(丙-2-基氧基)-巯基膦烷  二(吡啶-4-基甲基)2,6-二甲基-4-(3-甲...  二[(5-乙基吡啶-2-基)甲基]4-(5,6-二...  甲基丙二酰-辅酶A  beta-醋洋地黄毒苷  氧化铒  [(1S,3aS,5S,7R,7aR)-1-(1-...  [(2R,3S,5R)-5-(6-氨基嘌呤-9-基...  3-氨基-4-[[(Z)-4-[4-(哌啶-1-基...