Online Database of Chemicals from Around the World

辅酶AS-(羟基乙酸酯)
[CAS# 1264-31-9]

供应商
CAS#: 1264-31-9
产品: 辅酶AS-(羟基乙酸酯)
暂时没有厂家供应该产品。
基本信息
产品名称 辅酶AS-(羟基乙酸酯)
英文名 Coenzyme A S-(hydroxyacetate)
别名 S-[2-[3-[[4-[[[5-(6-Aminopurin-9-Yl)-4-Hydroxy-3-Phosphonooxy-Tetrahydrofuran-2-Yl]Methoxy-Hydroxy-Phosphoryl]Oxy-Hydroxy-Phosphoryl]Oxy-2-Hydroxy-3,3-Dimethyl-Butanoyl]Amino]Propanoylamino]Ethyl] 2-Hydroxyethanethioate; 2-Hydroxyethanethioic Acid S-[2-[[3-[[4-[[[5-(6-Amino-9-Purinyl)-4-Hydroxy-3-Phosphonooxy-2-Tetrahydrofuranyl]Methoxy-Hydroxyphosphoryl]Oxy-Hydroxyphosphoryl]Oxy-2-Hydroxy-3,3-Dimethyl-1-Oxobutyl]Amino]-1-Oxopropyl]Amino]Ethyl] Ester; 2-Hydroxyethanethioic Acid S-[2-[3-[[4-[[[5-(6-Aminopurin-9-Yl)-4-Hydroxy-3-Phosphonooxy-Tetrahydrofuran-2-Yl]Methoxy-Hydroxy-Phosphoryl]Oxy-Hydroxy-Phosphoryl]Oxy-2-Hydroxy-3,3-Dimethyl-Butanoyl]Amino]Propanoylamino]Ethyl] Ester
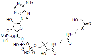
分子结构 CAS 登录号:1264-31-9, 辅酶AS-(羟基乙酸酯)
分子式 C23H38N7O18P3S
分子量 825.57
CAS 登录号 1264-31-9
分子行输入简码 SMILES C1=NC2=C(C(=N1)N)N=C[N]2C3C(O)C(O[P](=O)(O)O)C(O3)CO[P](O[P](OCC(C)(C)C(C(NCCC(NCCSC(CO)=O)=O)=O)O)(=O)O)(=O)O
国际化学标识码 InChI 1S/C23H38N7O18P3S/c1-23(2,18(35)21(36)26-4-3-13(32)25-5-6-52-14(33)7-31)9-45-51(42,43)48-50(40,41)44-8-12-17(47-49(37,38)39)16(34)22(46-12)30-11-29-15-19(24)27-10-28-20(15)30/h10-12,16-18,22,31,34-35H,3-9H2,1-2H3,(H,25,32)(H,26,36)(H,40,41)(H,42,43)(H2,24,27,28)(H2,37,38,39)
国际化学标识检索码 InChIKey KLHKNYVUTZICKN-UHFFFAOYSA-N
物理化学性质
密度 1.95g/cm3 (计算值)
市场分析报告
请浏览辅酶AS-(羟基乙酸酯)市场分析报告总目录
相关产品
5-氧代二十-6,8,11,14-四烯酸  (3Z)-5-碘-3-(3-氧代-1H-吲哚-2-...  2-羟基丙烷-1,2,3-三羧酸根  二(苯基)锑基硫基-二(丙-2-基氧基)-巯基膦烷  二(吡啶-4-基甲基)2,6-二甲基-4-(3-甲...  二[(5-乙基吡啶-2-基)甲基]4-(5,6-二...  甲基丙二酰-辅酶A  beta-醋洋地黄毒苷  氧化铒  [(1S,3aS,5S,7R,7aR)-1-(1-...  [(2R,3S,5R)-5-(6-氨基嘌呤-9-基...  3-氨基-4-[[(Z)-4-[4-(哌啶-1-基...  (2R)-2-[1-[(2R)-2-乙酰氨基-3-...  (1-乙基-5-乙硫基-2-苯基咪唑-4-基)-三...  氢化钯