基本信息
| 产品名称 |
锰(III)去铁敏B络合物 |
| 英文名 |
Manganese(III) Desferrioxamine B complex |
| 别名 |
N'-[5-(Acetyl-Oxido-Amino)Pentyl]-N-[5-[[4-(5-Aminopentyl-Oxido-Amino)-4-Oxo-Butanoyl]Amino]Pentyl]-N-Oxido-Butanediamide; Manganese; N'-[5-(Acetyl-Oxidoamino)Pentyl]-N-[5-[[4-(5-Aminopentyl-Oxidoamino)-1,4-Dioxobutyl]Amino]Pentyl]-N-Oxidobutanediamide; Manganese; N'-[5-(Acetyl-Oxido-Amino)Pentyl]-N-[5-[[4-(5-Aminopentyl-Oxido-Amino)-4-Keto-Butanoyl]Amino]Pentyl]-N-Oxido-Succinamide; Manganese |
|
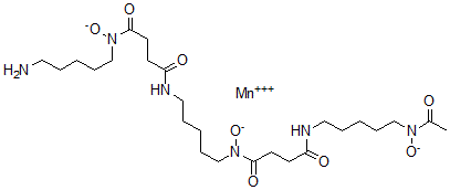
| 分子结构 |
 |
| 分子式 |
C25H45MnN6O8 |
| 分子量 |
612.60 |
| CAS 登录号 |
125892-49-1 |
| 分子行输入简码 SMILES |
C(CCN([O-])C(=O)CCC(=O)NCCCCCN([O-])C(=O)C)CCNC(=O)CCC(=O)N([O-])CCCCCN.[Mn] |
| 国际化学标识码 InChI |
1S/C25H45N6O8.Mn/c1-21(32)29(37)18-9-3-6-16-27-22(33)12-14-25(36)31(39)20-10-4-7-17-28-23(34)11-13-24(35)30(38)19-8-2-5-15-26;/h2-20,26H2,1H3,(H,27,33)(H,28,34);/q-3; |
| 国际化学标识检索码 InChIKey |
WAFWWLWTBYOLHW-UHFFFAOYSA-N |
|