Online Database of Chemicals from Around the World

苯酚基钴胺酰胺
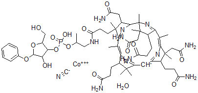
[CAS# 125939-05-1]

供应商
CAS#: 125939-05-1
产品: 苯酚基钴胺酰胺
暂时没有厂家供应该产品。
基本信息
产品名称 苯酚基钴胺酰胺
英文名 Phenolyl Cobamide
分子结构 CAS 登录号:125939-05-1, 苯酚基钴胺酰胺
分子式 C60H87CoN12O16P
分子量 1322.33
CAS 登录号 125939-05-1
分子行输入简码 SMILES [Co+3].N1=C6C(C(C1(C2N=C(C(C2CC(=O)N)(CCC(=O)NCC(O[P](OC3C(O)C(OC3CO)OC4=CC=CC=C4)(=O)O)C)C)C(=C5N=C(C(C5CCC(=O)N)(C)C)[CH-]C7=NC(=C6C)C(C7CCC(=O)N)(CC(=O)N)C)C)C)(CC(=O)N)C)CCC(=O)N.O.[C-]#N
国际化学标识码 InChI 1S/C59H85N11O15P.CN.Co.H2O/c1-29(84-86(80,81)85-50-38(28-71)83-54(49(50)79)82-32-13-11-10-12-14-32)27-66-46(78)21-22-56(6)36(23-43(63)75)53-59(9)58(8,26-45(65)77)35(17-20-42(62)74)48(70-59)31(3)52-57(7,25-44(64)76)33(15-18-40(60)72)37(67-52)24-39-55(4,5)34(16-19-41(61)73)47(68-39)30(2)51(56)69-53;1-2;;/h10-14,24,29,33-36,38,49-50,53-54,71,79H,15-23,25-28H2,1-9H3,(H2,60,72)(H2,61,73)(H2,62,74)(H2,63,75)(H2,64,76)(H2,65,77)(H,66,78)(H,80,81);;;1H2/q2*-1;+3;
国际化学标识检索码 InChIKey DNKIHELDPWOCOE-UHFFFAOYSA-N
市场分析报告
请浏览苯酚基钴胺酰胺市场分析报告总目录
相关产品
铋三聚体  铋四聚体  铈二聚体  5-[2-[2-(5-氟-2-甲氧基苯氧基)乙基氨...  钼二聚体  2-丙烯-1-基o-2-脱氧-2-(1,3-二氢-...  硫五聚体  环八硒  4-[(E)-3-[3,5-二(三甲基硅烷基)苯基...  4-[(E)-3-[3,5-二(三甲基锗烷基)苯基...  Trisilirane  2-氨基-7-(2-氟乙基)-3H-嘌呤-6-酮  4-(氯甲基)-5H-呋喃-2-酮  4-(二氯甲基)-5H-呋喃-2-酮  3-氯-4-(氯甲基)-5H-呋喃-2-酮