Online Database of Chemicals from Around the World

Cryptophycin 1
[CAS# 124689-65-2]

供应商
CAS#: 124689-65-2
产品: Cryptophycin 1
暂时没有厂家供应该产品。
基本信息
产品名称 Cryptophycin 1
英文名 Cryptophycin 1
别名 (3S,6R,10R,13E,16S)-10-[(3-Chloro-4-Methoxy-Phenyl)Methyl]-3-Isobutyl-6-Methyl-16-[(1S)-1-[(2R,3R)-3-Phenyloxiran-2-Yl]Ethyl]-1,4-Dioxa-8,11-Diazacyclohexadec-13-Ene-2,5,9,12-Tetrone; (3S,6R,10R,13E,16S)-10-[(3-Chloro-4-Methoxyphenyl)Methyl]-3-Isobutyl-6-Methyl-16-[(1S)-1-[(2R,3R)-3-Phenyl-2-Oxiranyl]Ethyl]-1,4-Dioxa-8,11-Diazacyclohexadec-13-Ene-2,5,9,12-Tetrone; (3S,6R,10R,13E,16S)-10-(3-Chloro-4-Methoxy-Benzyl)-3-Isobutyl-6-Methyl-16-[(1S)-1-[(2R,3R)-3-Phenyloxiran-2-Yl]Ethyl]-1,4-Dioxa-8,11-Diazacyclohexadec-13-Ene-2,5,9,12-Diquinone
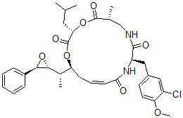
分子结构 CAS 登录号:124689-65-2, Cryptophycin 1
分子式 C35H43ClN2O8
分子量 655.19
CAS 登录号 124689-65-2
分子行输入简码 SMILES [C@@H]1(O[C@@H]1C2=CC=CC=C2)[C@H]([C@H]3OC(=O)[C@@H](OC(=O)[C@@H](CNC(=O)[C@H](NC(=O)/C=C/C3)CC4=CC=C(OC)C(=C4)Cl)C)CC(C)C)C
国际化学标识码 InChI 1S/C35H43ClN2O8/c1-20(2)16-29-35(42)44-27(22(4)31-32(46-31)24-10-7-6-8-11-24)12-9-13-30(39)38-26(33(40)37-19-21(3)34(41)45-29)18-23-14-15-28(43-5)25(36)17-23/h6-11,13-15,17,20-22,26-27,29,31-32H,12,16,18-19H2,1-5H3,(H,37,40)(H,38,39)/b13-9+/t21-,22+,26-,27+,29+,31-,32-/m1/s1
国际化学标识检索码 InChIKey PSNOPSMXOBPNNV-VVCTWANISA-N
物理化学性质
密度 1.2±0.1g/cm3 (计算值)
沸点 889.4±65.0°C at 760 mmHg (计算值)
闪点 491.7±34.3°C (计算值)
参考文献
(1) Weiß Christine, Bogner Tobias, Sammet Benedikt, Sewald Norbert. Total synthesis and biological evaluation of fluorinated cryptophycins, Beilstein Journal of Organic Chemistry, 2012
市场分析报告
请浏览Cryptophycin 1市场分析报告总目录
相关产品
蛋白质激酶抑制肽(1-31)  (E)-1-(2,4-二羟基-3-甲氧基苯基)-3...  (E)-1-(2,4-二羟基-3-甲氧基苯基)-3...  1-乙酰基-2,3-二氢-2,6,11-三羟基-4...  2-[[4-[[4-[(2,4-二氨基蝶啶-6-基...  二苯氧基二苯基硅烷  1,2,3,4-四溴-6,7,8,9-四氯二苯并二...  7-乙基-鹅去氧胆酸  7-丙基-鹅去氧胆酸  3-甲基丁基4-[2-(二氟甲氧基)苯基]-2-甲...  2-[[2-(乙酰基硫基甲基)-3-苯基丙酰基]氨...  [(2R,3R,4R,5R)-4-乙酰氧基-5-(...  4-二甲基氨基偶氮苯3-羧基-4-羟基苯磺酸酯  4-氨基-5-氯-1-[(2R,5S)-5-(羟基...  17beta-乙酰氧基-3-甲氧基-9-氧代-9,...