|
CAS#: 124695-91-6 产品: 蛋白质激酶抑制肽(1-31) 暂时没有厂家供应该产品。 |
| 产品名称 | 蛋白质激酶抑制肽(1-31) |
|---|---|
| 英文名 | Protein Kinase Inhibitor Peptide (1-31) |
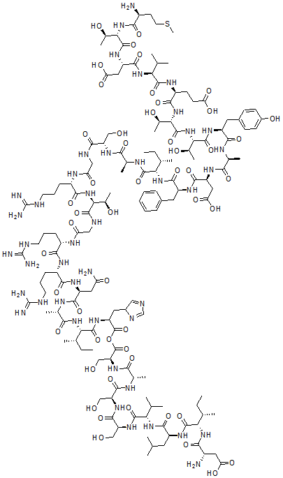
| 别名 | L-Methionyl-L-Threonyl-L-Alpha-Aspartyl-L-Valyl-L-Alpha-Glutamyl-L-Threonyl-L-Threonyl-L-Tyrosyl-L-Alanyl-L-Alpha-Aspartyl-L-Phenylalanyl-L-Isoleucyl-L-Alanyl-L-Serylglycyl-L-Arginyl-L-Threonylglycyl-L-Arginyl-L-Arginyl-L-Asparaginyl-L-Alanyl-L-Isoleucyl-L-Histidyl-L-Alpha-Aspartyl-L-Isoleucyl-L-Leucyl-L-Valyl-L-Seryl-L-Seryl-L-Alanyl-L-Serine; L-Serine, L-Methionyl-L-Threonyl-L-Alpha-Aspartyl-L-Valyl-L-Alpha-Glutamyl-L-Threonyl-L-Threonyl-L-Tyrosyl-L-Alanyl-L-Alpha-Aspartyl-L-Phenylalanyl-L-Isoleucyl-L-Alanyl-L-Serylglycyl-L-Arginyl-L-Threonylglycyl-L-Arginyl-L-Arginyl-L-Asparaginyl-L-Alanyl-L-Isoleucyl-L-Histidyl-L-Alpha-Aspartyl-L-Isoleucyl-L-Leucyl-L-Valyl-L-Seryl-L-Seryl-L-Alanyl-; Pki(1-31) |
| 分子结构 | ![]() |
| 分子式 | C146H236N44O51S |
| 分子量 | 3455.79 |
| CAS 登录号 | 124695-91-6 |
| 分子行输入简码 SMILES | [C@H](C(=O)OC([C@@H](NC([C@@H](NC([C@@H](NC([C@@H](NC([C@@H](NC([C@@H](NC(CNC([C@@H](NC([C@@H](NC(CNC([C@@H](NC([C@@H](NC([C@@H](NC([C@@H](NC([C@@H](NC([C@@H](NC([C@@H](NC([C@@H](NC([C@@H](NC([C@@H](NC([C@@H](NC([C@@H](NC([C@@H](NC([C@@H](N)CCSC)=O)[C@@H](C)O)=O)CC(=O)O)=O)C(C)C)=O)CCC(=O)O)=O)[C@@H](C)O)=O)[C@@H](C)O)=O)CC1=CC=C(O)C=C1)=O)C)=O)CC(=O)O)=O)CC2=CC=CC=C2)=O)[C@H](CC)C)=O)C)=O)CO)=O)=O)CCCNC(=N)N)=O)[C@@H](C)O)=O)=O)CCCNC(=N)N)=O)CCCNC(=N)N)=O)CC(=O)N)=O)C)=O)[C@H](CC)C)=O)CC3C=NC=N3)=O)(NC([C@@H](NC([C@@H](NC([C@@H](NC([C@@H](NC([C@@H](NC([C@@H](NC([C@@H](N)CC(=O)O)=O)[C@H](CC)C)=O)CC(C)C)=O)C(C)C)=O)CO)=O)CO)=O)C)=O)CO |
| 国际化学标识码 InChI | 1S/C146H236N44O51S/c1-22-66(10)107(186-129(226)89(48-77-31-26-25-27-32-77)172-127(224)91(53-103(207)208)171-114(211)69(13)163-125(222)88(49-78-36-38-80(199)39-37-78)175-140(237)112(75(19)197)190-141(238)113(76(20)198)189-124(221)86(40-41-101(203)204)170-134(231)105(64(6)7)183-130(227)92(54-104(209)210)176-139(236)111(74(18)196)187-118(215)81(147)42-46-242-21)136(233)166-71(15)115(212)178-94(58-191)120(217)160-56-99(201)168-84(34-29-44-158-145(152)153)123(220)188-110(73(17)195)133(230)161-57-100(202)167-83(33-28-43-157-144(150)151)121(218)169-85(35-30-45-159-146(154)155)122(219)173-90(52-98(149)200)126(223)164-72(16)117(214)184-108(67(11)23-2)138(235)177-93(50-79-55-156-62-162-79)142(239)241-143(240)97(61-194)181-116(213)70(14)165-131(228)95(59-192)179-132(229)96(60-193)180-135(232)106(65(8)9)182-128(225)87(47-63(4)5)174-137(234)109(68(12)24-3)185-119(216)82(148)51-102(205)206/h25-27,31-32,36-39,55,62-76,79,81-97,105-113,191-199H,22-24,28-30,33-35,40-54,56-61,147-148H2,1-21H3,(H2,149,200)(H,160,217)(H,161,230)(H,163,222)(H,164,223)(H,165,228)(H,166,233)(H,167,202)(H,168,201)(H,169,218)(H,170,231)(H,171,211)(H,172,224)(H,173,219)(H,174,234)(H,175,237)(H,176,236)(H,177,235)(H,178,212)(H,179,229)(H,180,232)(H,181,213)(H,182,225)(H,183,227)(H,184,214)(H,185,216)(H,186,226)(H,187,215)(H,188,220)(H,189,221)(H,190,238)(H,203,204)(H,205,206)(H,207,208)(H,209,210)(H4,150,151,157)(H4,152,153,158)(H4,154,155,159)/t66-,67-,68-,69-,70-,71-,72-,73+,74+,75+,76+,79?,81-,82-,83-,84-,85-,86-,87-,88-,89-,90-,91-,92-,93-,94-,95-,96-,97-,105-,106-,107-,108-,109-,110-,111-,112-,113-/m0/s1 |
| 国际化学标识检索码 InChIKey | JGWLEYZIFOMYQI-OCGSKPIFSA-N |
| 市场分析报告 |
| 请浏览蛋白质激酶抑制肽(1-31)市场分析报告总目录 |