Online Database of Chemicals from Around the World

阿扎毒素-F
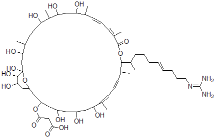
[CAS# 11003-24-0]

供应商
CAS#: 11003-24-0
产品: 阿扎毒素-F
暂时没有厂家供应该产品。
基本信息
产品名称 阿扎毒素-F
英文名 Azalomycin-F
别名 3-[[(13E,15E,21E,23E)-19-[(E)-9-Guanidino-1-Methyl-Non-5-Enyl]-1,3,7,9,11,25,27,29,35,36-Decahydroxy-4,8,12,16,20,24-Hexamethyl-17-Oxo-18,37-Dioxabicyclo[31.3.1]Heptatriaconta-13,15,21,23-Tetraen-31-Yl]Oxy]-3-Oxo-Propanoic Acid; 3-[[(13E,15E,21E,23E)-19-[(E)-9-Guanidino-1-Methylnon-5-Enyl]-1,3,7,9,11,25,27,29,35,36-Decahydroxy-4,8,12,16,20,24-Hexamethyl-17-Oxo-18,37-Dioxabicyclo[31.3.1]Heptatriaconta-13,15,21,23-Tetraen-31-Yl]Oxy]-3-Oxopropanoic Acid; 3-[[(13E,15E,21E,23E)-19-[(E)-9-Guanidino-1-Methyl-Non-5-Enyl]-1,3,7,9,11,25,27,29,35,36-Decahydroxy-17-Keto-4,8,12,16,20,24-Hexamethyl-18,37-Dioxabicyclo[31.3.1]Heptatriaconta-13,15,21,23-Tetraen-31-Yl]Oxy]-3-Keto-Propionic Acid
分子结构 CAS 登录号:11003-24-0, 阿扎毒素-F
分子式 C55H93N3O17
分子量 1068.35
CAS 登录号 11003-24-0
分子行输入简码 SMILES C(C(OC2CC1OC(O)(C(O)C(O)C1)CC(O)C(CCC(O)C(C(O)CC(O)C(C)\C=C\C=C(C(OC(C(CCC\C=C\CCCN=C(N)N)C)C(\C=C\C=C(C(O)CC(O)CC(O)C2)/C)C)=O)/C)C)C)=O)C(O)=O
国际化学标识码 InChI 1S/C55H93N3O17/c1-32-17-14-19-36(5)51(35(4)16-12-10-8-9-11-13-23-58-54(56)57)74-53(71)37(6)20-15-18-33(2)45(63)29-46(64)38(7)43(61)22-21-34(3)48(66)31-55(72)52(70)47(65)28-42(75-55)27-41(73-50(69)30-49(67)68)25-39(59)24-40(60)26-44(32)62/h8-9,14-15,17-20,33-36,38-48,51-52,59-66,70,72H,10-13,16,21-31H2,1-7H3,(H,67,68)(H4,56,57,58)/b9-8+,18-15+,19-14+,32-17+,37-20+
国际化学标识检索码 InChIKey UVUPYXTUQSCQRV-PEKXHOPKSA-N
市场分析报告
请浏览阿扎毒素-F市场分析报告总目录
相关产品
2-氨基-6-[4-(4-氨基-4-羧基-丁基)-...  8,15-二去氢-17-甲基-石松定-1(18H)...  (22S,25R)-5alpha-茄甾-3beta...  (2R,3S,4R,5S,6R)-4-氨基-2-[...  柳珊瑚酸  (25R)-5beta-呋甾-20(22)-烯-3...  2,5-二(3-吗啉-4-基丙基氨基)环己-2,5...  16beta-乙酰氧基-5-(beta-D-吡喃葡...  (3-环己基-3-羟基-3-苯基丙基)-二甲基锍碘...  3beta-[[2-O-(6-O-beta-D-吡...  库霉素  (3beta,5beta)-3-[(2,6-二脱氧...  黄抗霉素  一氮霉素  粉霉素