Online Database of Chemicals from Around the World

(3beta,5beta)-3-[(2,6-二脱氧-4-O-beta-D\-吡喃葡萄糖基-beta-D-核-己糖吡喃糖苷)氧基]-5,14,19-三羟基心甾-20(22)-烯内酯
[CAS# 11006-14-7]

基本信息
产品名称 (3beta,5beta)-3-[(2,6-二脱氧-4-O-beta-D\-吡喃葡萄糖基-beta-D-核-己糖吡喃糖苷)氧基]-5,14,19-三羟基心甾-20(22)-烯内酯
英文名 (3beta,5beta)-3-[(2,6-Dideoxy-4-O-beta-D\-Glucopyranosyl-beta-D-Ribo-Hexopyranosyl)Oxy]-5,14,19-Trihydroxycard-20(22)-Enolide
别名 4-[(3S,5S,10R,13R,14S,17R)-3-[(2R,5S)-6-[[(3R,6S)-4,6-Dihydroxy-2-Methyl-Tetrahydropyran-3-Yl]Oxymethyl]-3,4,5-Trihydroxy-Tetrahydropyran-2-Yl]Oxy-5,14-Dihydroxy-10-(Hydroxymethyl)-13-Methyl-2,3,4,6,7,8,9,11,12,15,16,17-Dodecahydro-1H-Cyclopenta[A]Phenanthren-17-Yl]-5H-Furan-2-One; 4-[(3S,5S,10R,13R,14S,17R)-3-[[(2R,5S)-6-[[(3R,6S)-4,6-Dihydroxy-2-Methyl-3-Tetrahydropyranyl]Oxymethyl]-3,4,5-Trihydroxy-2-Tetrahydropyranyl]Oxy]-5,14-Dihydroxy-10-(Hydroxymethyl)-13-Methyl-2,3,4,6,7,8,9,11,12,15,16,17-Dodecahydro-1H-Cyclopenta[A]Phenanthren-17-Yl]-5H-Furan-2-One; 4-[(3S,5S,10R,13R,14S,17R)-3-[(2R,5S)-6-[[(3R,6S)-4,6-Dihydroxy-2-Methyl-Tetrahydropyran-3-Yl]Oxymethyl]-3,4,5-Trihydroxy-Tetrahydropyran-2-Yl]Oxy-5,14-Dihydroxy-13-Methyl-10-Methylol-2,3,4,6,7,8,9,11,12,15,16,17-Dodecahydro-1H-Cyclopenta[A]Phenanthren-17-Yl]-5H-Furan-2-One
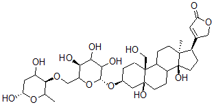
分子结构 CAS 登录号:11006-14-7, (3beta,5beta)-3-[(2,6-二脱氧-4-O-beta-D\-吡喃葡萄糖基-beta-D-核-己糖吡喃糖苷)氧基]-5,14,19-三羟基心甾-20(22)-烯内酯
分子式 C35H54O14
分子量 698.80
CAS 登录号 11006-14-7
EINECS 登录号 234-240-4
分子行输入简码 SMILES [C@]56([C@@](O)(C1C([C@@]4([C@](O)(CC1)C[C@@H](O[C@@H]2OC([C@@H](O)C(O)C2O)CO[C@H]3C(O[C@H](O)CC3O)C)CC4)CO)CC5)CC[C@@H]6C7=CC(OC7)=O)C
国际化学标识码 InChI 1S/C35H54O14/c1-17-30(23(37)12-26(39)47-17)46-15-24-27(40)28(41)29(42)31(49-24)48-19-3-8-33(16-36)21-4-7-32(2)20(18-11-25(38)45-14-18)6-10-35(32,44)22(21)5-9-34(33,43)13-19/h11,17,19-24,26-31,36-37,39-44H,3-10,12-16H2,1-2H3/t17?,19-,20+,21?,22?,23?,24?,26-,27+,28?,29?,30-,31+,32+,33-,34-,35-/m0/s1
国际化学标识检索码 InChIKey FWXUQGTVECLNCB-OKDYQEHCSA-N
物理化学性质
密度 1.471g/cm3 (计算值)
沸点 925.833°C at 760 mmHg (计算值)
闪点 288.226°C (计算值)
市场分析报告
请浏览(3beta,5beta)-3-[(2,6-二脱氧-4-O-beta-D\-吡喃葡萄糖基-beta-D-核-己糖吡喃糖苷)氧基]-5,14,19-三羟基心甾-20(22)-烯内酯市场分析报告总目录
相关产品
黄抗霉素  一氮霉素  粉霉素  嗜温红菌素  (8R,9S,10R,13S,14S,17R)-1...  卡托普利组合物与氢氯噻嗪  乙基-二甲基-十八烷基铵硫酸乙酯盐  (4S,5R)-4-[(4R)-2,2-二甲基-1...  (3-十六烷氧基-2-甲氧基-2-甲基丙基)2-三...  8-(2''-羟基乙氧基)-2',3'-O-异亚丙...  2-甲基十一烷-2-胺  N-[(2S,3R,4R,5R,6R)-2-[(2...  21-(4-(2,6-二-1-吡咯烷基-4-嘧啶基...  辛基硫酸氢酯  布鲁霉素