Online Database of Chemicals from Around the World

Bezafibroyl-coenzyme A
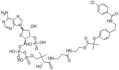
[CAS# 109881-30-3]

Suppliers
CAS#: 109881-30-3
Product: Bezafibroyl-coenzyme A
No suppilers available for the product.
Identification
Name Bezafibroyl-coenzyme A
Synonyms S-[2-[3-[[(2R)-4-[[[(2R,3S,4R,5R)-5-(6-Aminopurin-9-Yl)-4-Hydroxy-3-Phosphonooxy-Tetrahydrofuran-2-Yl]Methoxy-Hydroxy-Phosphoryl]Oxy-Hydroxy-Phosphoryl]Oxy-2-Hydroxy-3,3-Dimethyl-Butanoyl]Amino]Propanoylamino]Ethyl] 2-[4-[2-[(4-Chlorobenzoyl)Amino]Ethyl]Phenoxy]-2-Methyl-Propanethioate; 2-[4-[2-[[(4-Chlorophenyl)-Oxomethyl]Amino]Ethyl]Phenoxy]-2-Methylpropanethioic Acid S-[2-[[3-[[(2R)-4-[[[(2R,3S,4R,5R)-5-(6-Amino-9-Purinyl)-4-Hydroxy-3-Phosphonooxy-2-Tetrahydrofuranyl]Methoxy-Hydroxyphosphoryl]Oxy-Hydroxyphosphoryl]Oxy-2-Hydroxy-3,3-Dimethyl-1-Oxobutyl]Amino]-1-Oxopropyl]Amino]Ethyl] Ester; 2-[4-[2-[(4-Chlorobenzoyl)Amino]Ethyl]Phenoxy]-2-Methyl-Propanethioic Acid S-[2-[3-[[(2R)-4-[[[(2R,3S,4R,5R)-5-(6-Aminopurin-9-Yl)-4-Hydroxy-3-Phosphonooxy-Tetrahydrofuran-2-Yl]Methoxy-Hydroxy-Phosphoryl]Oxy-Hydroxy-Phosphoryl]Oxy-2-Hydroxy-3,3-Dimethyl-Butanoyl]Amino]Propanoylamino]Ethyl] Ester
Molecular Structure CAS#: 109881-30-3, Bezafibroyl-coenzyme A
Molecular Formula C40H54ClN8O19P3S
Molecular Weight 1111.34
CAS Registry Number 109881-30-3
SMILES [C@H]1(O[C@@H]([C@@H](O[P](=O)(O)O)[C@H]1O)CO[P](O[P](OCC([C@@H](O)C(=O)NCCC(=O)NCCSC(=O)C(OC2=CC=C(C=C2)CCNC(=O)C3=CC=C(Cl)C=C3)(C)C)(C)C)(=O)O)(=O)O)[N]4C5=C(N=C4)C(=NC=N5)N
InChI 1S/C40H54ClN8O19P3S/c1-39(2,20-64-71(61,62)68-70(59,60)63-19-27-31(67-69(56,57)58)30(51)37(65-27)49-22-48-29-33(42)46-21-47-34(29)49)32(52)36(54)45-16-14-28(50)43-17-18-72-38(55)40(3,4)66-26-11-5-23(6-12-26)13-15-44-35(53)24-7-9-25(41)10-8-24/h5-12,21-22,27,30-32,37,51-52H,13-20H2,1-4H3,(H,43,50)(H,44,53)(H,45,54)(H,59,60)(H,61,62)(H2,42,46,47)(H2,56,57,58)/t27-,30-,31-,32+,37-/m1/s1
InChIKey OZLXUAXALOFHOV-JODUHGKGSA-N
Properties
Density 1.678g/cm3 (Cal.)
Market Analysis Reports
List of Reports Available for Bezafibroyl-coenzyme A
Related Products
5a,7,8,8a-Tetrahydro-3,4a-Dihydroxy-7,7-...  2-[[(2S)-2-(Hexadecanoylamino)-6-[(4-Nit...  (4E)-2-[2-[(4-Dimethylaminophenyl)Amino]...  (4E)-N-[C-(4-Dimethylaminophenyl)-N-[(2-...  (3R,4S,5S)-3-Hydroxy-5-[(R)-Hydroxy-Phen...  1,5,9,13-Tetrathiacyclohexadecane-3,11-D...  (4E)-4-(1H-Indol-3-Ylmethylidene)-2-[2-[...  Disodium (2R,3S,4S,5R,6R)-6-[(2R,3R,4R,5...  1-(1,1-Dimethylethylamino)-3-(2-(3-(1H-i...  1-(2-(3-(1H-Indol-4-yl)propyl)phenoxy)-3...  5-(Dansylglycyl-6-aminohexanoylaminoprop...  1-Phenyl-3-(Piperidin-1-Ylmethyl)Indole  (1-Phenyl-2-Pyrrolidin-1-Ylethyl) 4-Chlo...  (1-Phenyl-2-Pyrrolidin-1-Ylethyl) 2-Chlo...  (5R,6R,7S,8R,8aS)-6,7,8-Trihydroxy-5-(Hy...