Online Database of Chemicals from Around the World

1-(1,1-Dimethylethylamino)-3-(2-(3-(1H-indol-4-yl)propyl)phenoxy)-2-propanol fumarate
[CAS# 109920-83-4]

Suppliers
CAS#: 109920-83-4
Product: 1-(1,1-Dimethylethylamino)-3-(2-(3-(1H-indol-4-yl)propyl)phenoxy)-2-propanol fumarate
No suppilers available for the product.
Identification
Name 1-(1,1-Dimethylethylamino)-3-(2-(3-(1H-indol-4-yl)propyl)phenoxy)-2-propanol fumarate
Synonyms 1-(1,1-Dimethylethylamino)-3-(2-(3-(1H-Indol-4-Yl)Propyl)Phenoxy)-2-Propanol Fumarate; 2-Propanol, 1-((1,1-Dimethylethyl)Amino)-3-(2-(3-(1H-Indol-4-Yl)Propyl)Phenoxy)-, (E)-2-Butenedioate (2:1) (Salt)
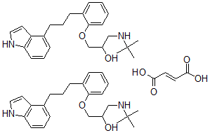
Molecular Structure CAS#: 109920-83-4, 1-(1,1-Dimethylethylamino)-3-(2-(3-(1H-indol-4-yl)propyl)phenoxy)-2-propanol fumarate
Molecular Formula C52H68N4O8
Molecular Weight 877.13
CAS Registry Number 109920-83-4
SMILES C1=C[NH]C2=C1C(=CC=C2)CCCC3=CC=CC=C3OCC(O)CNC(C)(C)C.C4=C[NH]C5=C4C(=CC=C5)CCCC6=CC=CC=C6OCC(O)CNC(C)(C)C.O=C(O)\C=C\C(=O)O
InChI 1S/2C24H32N2O2.C4H4O4/c2*1-24(2,3)26-16-20(27)17-28-23-13-5-4-8-19(23)11-6-9-18-10-7-12-22-21(18)14-15-25-22;5-3(6)1-2-4(7)8/h2*4-5,7-8,10,12-15,20,25-27H,6,9,11,16-17H2,1-3H3;1-2H,(H,5,6)(H,7,8)/b;;2-1+
InChIKey SFQDJCLMNVHUCB-WXXKFALUSA-N
Properties
Boiling point 578.9°C at 760 mmHg (Cal.)
Flash point 303.9°C (Cal.)
Market Analysis Reports
List of Reports Available for 1-(1,1-Dimethylethylamino)-3-(2-(3-(1H-indol-4-yl)propyl)phenoxy)-2-propanol fumarate
Related Products
1-(2-(3-(1H-Indol-4-yl)propyl)phenoxy)-3...  5-(Dansylglycyl-6-aminohexanoylaminoprop...  1-Phenyl-3-(Piperidin-1-Ylmethyl)Indole  (1-Phenyl-2-Pyrrolidin-1-Ylethyl) 4-Chlo...  (1-Phenyl-2-Pyrrolidin-1-Ylethyl) 2-Chlo...  (5R,6R,7S,8R,8aS)-6,7,8-Trihydroxy-5-(Hy...  Tautomycin  1-(2-(2-hydroxy-3-(propylamino)propoxy)p...  3-[(E)-2-[(1R,3aR,4R,7aR)-4-Hydroxy-1-[(...  2,6-Dihydro-6-Methyl-2-beta-D-Ribofurano...  Iso-isovelleral  Iso-9beta-hydroxyisovelleral  N-Butan-2-Yl-1-(2-Chlorophenyl)-N-(2-Iso...  S-(Thiiran-2-Ylmethyl) 4-Chlorobenzeneca...  Diethyl-[2-[[4-(Propoxycarbonylamino)Ben...