Online Database of Chemicals from Around the World

木孢菌素 B-Ia
[CAS# 107395-30-2]

供应商
CAS#: 107395-30-2
产品: 木孢菌素 B-Ia
暂时没有厂家供应该产品。
基本信息
产品名称 木孢菌素 B-Ia
英文名 Trichosporin B-Ia
别名 Trichosporin B-Ia
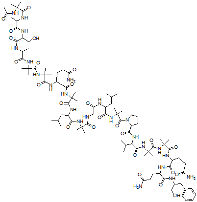
分子结构 CAS 登录号:107395-30-2, 木孢菌素 B-Ia
分子式 C91H151N23O25
分子量 1967.33
CAS 登录号 107395-30-2
分子行输入简码 SMILES C2=C(CC(NC(C(NC(C(NC(C(NC(C(NC(C(NC(C1N(C(C(NC(C(CC(C)C)NC(=O)CNC(=O)C(C)(C)NC(=O)C(CC(C)C)NC(=O)C(C)(C)NC(=O)C(CCC(N)=O)NC(=O)C(C)(C)NC(=O)C(C)(C)NC(=O)C(C)NC(=O)C(CO)NC(=O)C(C)NC(=O)C(C)(C)NC(C)=O)=O)(C)C)=O)CCC1)=O)C(C)C)=O)(C)C)=O)(C)C)=O)CCC(N)=O)=O)CCC(N)=O)=O)CO)C=CC=C2
国际化学标识码 InChI 1S/C91H151N23O25/c1-46(2)40-57(72(128)110-91(24,25)83(139)114-39-29-32-60(114)74(130)105-65(48(5)6)75(131)111-90(22,23)82(138)113-87(16,17)79(135)102-55(34-37-62(93)119)69(125)100-54(33-36-61(92)118)68(124)98-53(44-115)42-52-30-27-26-28-31-52)99-64(121)43-95-76(132)84(10,11)109-73(129)58(41-47(3)4)104-78(134)86(14,15)108-71(127)56(35-38-63(94)120)103-80(136)88(18,19)112-81(137)89(20,21)107-67(123)50(8)96-70(126)59(45-116)101-66(122)49(7)97-77(133)85(12,13)106-51(9)117/h26-28,30-31,46-50,53-60,65,115-116H,29,32-45H2,1-25H3,(H2,92,118)(H2,93,119)(H2,94,120)(H,95,132)(H,96,126)(H,97,133)(H,98,124)(H,99,121)(H,100,125)(H,101,122)(H,102,135)(H,103,136)(H,104,134)(H,105,130)(H,106,117)(H,107,123)(H,108,127)(H,109,129)(H,110,128)(H,111,131)(H,112,137)(H,113,138)
国际化学标识检索码 InChIKey WFQQTFGAQXPNLX-UHFFFAOYSA-N
市场分析报告
请浏览木孢菌素 B-Ia市场分析报告总目录
相关产品
2-L-丙氨酸-3-L-丙氨酸-6-(2-甲基丙氨...  2-L-丙氨酸-3-L-丙氨酸-6-(2-甲基丙氨...  4,5,6-三氨基-1H-嘧啶-2-硫酮  丁-2-烯二酸 (3E)-3-(9-氯-5,6-二...  Conus Magus Toxin  (2S)-2-氨基-5-(二氨基亚甲基氨基)戊酸;...  4-(6-二甲基氨基萘-2-羰基)环己烷-1-羧酸  1-(2-甲氧基-3-甲基苯基)-N,N-二甲基丙...  1-(4-甲基苯基)磺酰基-3-(4-硝基苯基)脲  1,2-二氯乙基苯  甲基-[4-[3-(4-甲基铵基苯氧基)丙氧基]苯...  (3R)-6,7-二甲氧基-1,3-二甲基-3,4...  1-甲基-2-丙基苯  3-甲基-2-(4-氧代-1-环己-2,5-二烯亚...  5-甲基-11-[2-(4-甲基哌嗪-1-基)乙酰...