Online Database of Chemicals from Around the World

Conus Magus Toxin
[CAS# 107407-86-3]

供应商
CAS#: 107407-86-3
产品: Conus Magus Toxin
暂时没有厂家供应该产品。
基本信息
产品名称 Conus Magus Toxin
英文名 Conus Magus Toxin
别名 Omega-Cmtx; Omega-Conotoxin (Conus Magus); Omega-Conotoxin M Viia (Reduced)
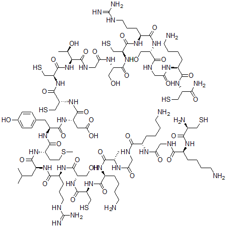
分子结构 CAS 登录号:107407-86-3, Conus Magus Toxin
分子式 C102H178N36O32S7
分子量 2645.17
CAS 登录号 107407-86-3
分子行输入简码 SMILES [C@@H](CCCNC(N)=N)(NC([C@@H](NC([C@@H](NC(CNC([C@@H](NC([C@@H](NC([C@H](NC([C@@H](NC(=O)[C@@H](NC([C@@H](NC([C@@H](NC([C@@H](NC([C@H](CO)NC([C@H](CS)NC([C@H](CCCCN)NC([C@H](C)NC(=O)CNC([C@H](CCCCN)NC(=O)CNC([C@H](CCCCN)NC([C@@H](N)CS)=O)=O)=O)=O)=O)=O)=O)CCCNC(N)=N)=O)CC(C)C)=O)CCSC)=O)CC1=CC=C(C=C1)O)CC(=O)O)=O)CS)=O)CS)=O)[C@@H](C)O)=O)=O)CO)=O)CS)=O)C(=O)N[C@@H](CO)C(=O)NCC(N[C@H](C(=O)N[C@@H](CS)C(=O)N)CCCCN)=O
国际化学标识码 InChI 1S/C102H178N36O32S7/c1-50(2)34-63(128-87(157)60(20-14-31-113-101(109)110)125-95(165)68(43-141)132-97(167)71(47-174)134-89(159)59(19-9-13-30-106)123-81(151)51(3)119-74(144)37-115-83(153)56(16-6-10-27-103)120-75(145)38-116-84(154)57(17-7-11-28-104)124-82(152)55(107)44-171)91(161)127-62(26-33-177-5)90(160)129-64(35-53-22-24-54(143)25-23-53)92(162)130-65(36-78(148)149)93(163)135-72(48-175)98(168)137-73(49-176)99(169)138-79(52(4)142)100(170)118-40-77(147)122-67(42-140)94(164)136-70(46-173)96(166)126-61(21-15-32-114-102(111)112)88(158)131-66(41-139)85(155)117-39-76(146)121-58(18-8-12-29-105)86(156)133-69(45-172)80(108)150/h22-25,50-52,55-73,79,139-143,171-176H,6-21,26-49,103-107H2,1-5H3,(H2,108,150)(H,115,153)(H,116,154)(H,117,155)(H,118,170)(H,119,144)(H,120,145)(H,121,146)(H,122,147)(H,123,151)(H,124,152)(H,125,165)(H,126,166)(H,127,161)(H,128,157)(H,129,160)(H,130,162)(H,131,158)(H,132,167)(H,133,156)(H,134,159)(H,135,163)(H,136,164)(H,137,168)(H,138,169)(H,148,149)(H4,109,110,113)(H4,111,112,114)/t51-,52+,55-,56-,57-,58-,59-,60-,61-,62-,63-,64-,65-,66-,67-,68-,69-,70-,71-,72+,73-,79-/m0/s1
国际化学标识检索码 InChIKey WGJAVYDGIUBMQI-BWDUIEOPSA-N
市场分析报告
请浏览Conus Magus Toxin市场分析报告总目录
相关产品
(2S)-2-氨基-5-(二氨基亚甲基氨基)戊酸;...  4-(6-二甲基氨基萘-2-羰基)环己烷-1-羧酸  1-(2-甲氧基-3-甲基苯基)-N,N-二甲基丙...  1-(4-甲基苯基)磺酰基-3-(4-硝基苯基)脲  1,2-二氯乙基苯  甲基-[4-[3-(4-甲基铵基苯氧基)丙氧基]苯...  (3R)-6,7-二甲氧基-1,3-二甲基-3,4...  1-甲基-2-丙基苯  3-甲基-2-(4-氧代-1-环己-2,5-二烯亚...  5-甲基-11-[2-(4-甲基哌嗪-1-基)乙酰...  2-L-丙氨酸-3-L-丙氨酸-6-(2-甲基丙氨...  4-氨基-5-氯-N-[(1-乙基-4,5-二氢咪...  7-(4,5-二羟基-3-碘-6-甲基四氢吡喃-2...  4-(5,5,8,8-四甲基-6,7-二氢蒽-2-...  2-(1-苯并呋喃-4-基)-N-甲基-N-(7-...