| 成都曼思特生物科技有限公司 | 中国 | 询价快递 | ||
|---|---|---|---|---|
![]() |
+86 (28) 8528-7229 | |||
![]() |
anniedai0203@gmail.com | |||
| 化学品生产商 (2007年起) | ||||
| chemBlink 标准供应商 (2012年起) | ||||
| 成都普瑞法科技开发有限公司 | 中国 | 询价快递 | ||
|---|---|---|---|---|
![]() |
+86 (28) 8263-3860 8263-3987 | |||
![]() |
sales@biopurify.com biopurify@gmail.com | |||
![]() |
QQ 交谈 | |||
![]() |
Skype 聊天 | |||
| 化学品生产商 | ||||
| chemBlink 标准供应商 (2017年起) | ||||
| 常州新星联生物科技有限公司 | 中国 | 询价快递 | ||
|---|---|---|---|---|
![]() |
+86 (519) 8555-7386 +86 18015025600 | |||
![]() |
marketing1@neostarunited.com | |||
| 化学品供销商 (2014年起) | ||||
| chemBlink 标准供应商 (2020年起) | ||||
| Indofine Chemical Company, Inc. | 美国 | 询价快递 | ||
|---|---|---|---|---|
![]() |
+1 (888) 463-6346 | |||
![]() |
info@indofinechemical.com | |||
| 化学品生产商 (1981年起) | ||||
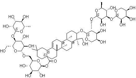
| 英文名 | Huzhangoside D |
|---|---|
| 别名 | Hushangoside |
| 产品名称 | 虎掌草皂甙 D |
| 分子结构 | ![]() |
| 分子式 | C64H104O30 |
| 分子量 | 1353.49 |
| CAS 登录号 | 96315-53-6 |
| 溶解度 | 几乎不溶 (0.014 g/L) (25 ºc), 计算值* |
|---|---|
| 密度 | 1.52±0.1 g/cm3 (20 ºc 760 torr), 计算值* |
| * | 使用计算软件 Advanced Chemistry Development (ACD/Labs) V11.02 (©1994-2013 ACD/Labs) |
| 市场分析报告 |
| 请浏览虎掌草皂甙 D市场分析报告总目录 |