Online Database of Chemicals from Around the World

1,2-二-[(2E,4E)-2,4-十八碳二烯酰基]-sn-甘油-3-磷酰胆碱
[CAS# 95721-44-1]

供应商目录
上海华升生物科技有限公司 中国 询价快递  
+86 (21) 5080-0795
sales@growingchem.com
syzhang1983@163.com
QQ 交谈
化学品生产商 (2008年起)
chemBlink 标准供应商 (2009年起)
上海朗旭生物科技有限公司 中国 询价快递  
+86 (21) 5178-3479
info@shochem.com
QQ 交谈
化学品生产商 (2016年起)
chemBlink 标准供应商 (2018年起)
1,2-二-[(2E,4E)-2,4-十八碳二烯酰基]-sn-甘油-3-磷酰胆碱供应商总目录
基本信息
英文名 1,2-Di-[(2E,4E)-2,4-octadecadienoyl]-sn-glycero-3-phosphocholine
别名 (7R,11E,13E)-4-Hydroxy-N,N,N-trimethyl-10-oxo-7-[[(2E,4E)-1-oxo-2,4-octadecadien-1-yl]oxy]-3,5,9-trioxa-4-phosphaheptacosa-11,13-dien-1-aminium inner salt 4-oxide
产品名称 1,2-二-[(2E,4E)-2,4-十八碳二烯酰基]-sn-甘油-3-磷酰胆碱
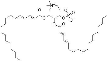
分子结构 CAS 登录号:95721-44-1, 1,2-二-[(2E,4E)-2,4-十八碳二烯酰基]-sn-甘油-3-磷酰胆碱
分子式 C44H80NO8P
分子量 782.08
CAS 登录号 95721-44-1
市场分析报告
请浏览1,2-二-[(2E,4E)-2,4-十八碳二烯酰基]-sn-甘油-3-磷酰胆碱市场分析报告总目录
相关产品
4,4'-二壬基-2,2'-联吡啶  4,4'-二壬基-2,2'-联噻唑  二壬基萘磺酸  邻苯二甲酸二壬酯  二壬基癸二酸酯  15,16-二去甲-8(17),11-赖百当二烯-13-酮  等效-14,15-二去甲-13-氧代赖百当-8(17),11-二烯-18-酸  呋虫胺  特乐酚二甲胺盐  定磺胺  1,2-二-(9Z-十八碳烯酰基)-sn-甘油-3-磷酰-L-丝氨酸钠盐  2-[(双十八烷基胺)羰基]苯甲酸  N,N-双十八烷基苯胺  双十八烷基二甲基氯化铵  3,3'-二(十八烷基)氧杂碳菁高氯酸盐  抗氧剂 618  1,1'-双十八烷基-3,3,3',3'-四甲基吲哚菁高氯酸盐  1,1'-双十八烷基-3,3,3',3'-四甲基吲哚二碳菁高氯酸盐  1,2-二辛酰-sn-甘油  己二酸二辛酯