Online Database of Chemicals from Around the World

五味子二内酯 A
[CAS# 945610-99-1]

供应商目录
成都普瑞法科技开发有限公司 中国 询价快递  
+86 (28) 8263-3860
8263-3987
sales@biopurify.com
biopurify@gmail.com
QQ 交谈
Skype 聊天
化学品生产商
chemBlink 标准供应商 (2017年起)
五味子二内酯 A供应商总目录
基本信息
英文名 Wuweizidilactone A
产品名称 五味子二内酯 A
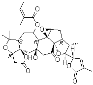
分子结构 CAS 登录号:945610-99-1, 五味子二内酯 A
分子式 C33H40O11
分子量 612.66
CAS 登录号 945610-99-1
物理化学性质
溶解度 微溶 (1.8 g/L) (25 ºC), 计算值*
密度 1.42±0.1 g/cm3 (20 ºC 760 torr), 计算值*
* 使用计算软件 Advanced Chemistry Development (ACD/Labs) V11.02 (©1994-2015 ACD/Labs)
市场分析报告
请浏览五味子二内酯 A市场分析报告总目录
相关产品
植物炭  黄连宁  渥曼青霉素  WP 1066  WP 1130  瑞氏色素  水溶性四氮唑-5  五脂素 A1  梧宁霉素 C  巫山淫羊藿素  4-[4-(3,8-二氮杂双环[3.2.1]辛烷-3-基)-8-氟-2-[[(2R,8S)-2-氟-1,2,3,5,6,7-六氢吡咯里嗪-8-基]甲氧基]吡啶并[4,3-d]嘧啶-7-基]-5-乙炔基-6-氟萘-2-醇  WX 671  WYE 125132  WYE 354  WYE-687  WZ 3146  WZ 4002  WZ 8040  紫藤提取物  醉茄素 A