Online Database of Chemicals from Around the World

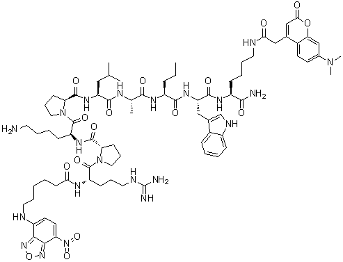
N2-[6-[(7-硝基-2,1,3-苯并恶二唑-4-基)氨基]-1-氧代己基]-L-精氨酰-L-脯氨酰-L-赖氨酰-L-脯氨酰-L-亮氨酰-L-丙氨酰-L-正缬氨酰-L-色氨酰-N6-[2-[7-(二甲基氨基)-2-氧代-2H-1-苯并吡喃-4-基]乙酰基]-L-赖氨酰胺
[CAS# 945414-97-1]

基本信息
英文名 N2-[6-[(7-Nitro-2,1,3-benzoxadiazol-4-yl)amino]-1-oxohexyl]-L-arginyl-L-prolyl-L-lysyl-L-prolyl-L-leucyl-L-alanyl-L-norvalyl-L-tryptophyl-N6-[2-[7-(dimethylamino)-2-oxo-2H-1-benzopyran-4-yl]acetyl]-L-lysinamide
产品名称 N2-[6-[(7-硝基-2,1,3-苯并恶二唑-4-基)氨基]-1-氧代己基]-L-精氨酰-L-脯氨酰-L-赖氨酰-L-脯氨酰-L-亮氨酰-L-丙氨酰-L-正缬氨酰-L-色氨酰-N6-[2-[7-(二甲基氨基)-2-氧代-2H-1-苯并吡喃-4-基]乙酰基]-L-赖氨酰胺
分子结构 CAS 登录号:945414-97-1, N2-[6-[(7-硝基-2,1,3-苯并恶二唑-4-基)氨基]-1-氧代己基]-L-精氨酰-L-脯氨酰-L-赖氨酰-L-脯氨酰-L-亮氨酰-L-丙氨酰-L-正缬氨酰-L-色氨酰-N6-[2-[7-(二甲基氨基)-2-氧代-2H-1-苯并吡喃-4-基]乙酰基]-L-赖氨酰胺
分子式 C78H111N21O16
分子量 1598.85
CAS 登录号 945414-97-1
物理化学性质
溶解度 极易溶解 (1000 g/L) (25 ºC), 计算值*
密度 1.43±0.1 g/cm3 (20 ºC 760 torr), 计算值*
* 使用计算软件 Advanced Chemistry Development (ACD/Labs) V11.02 (©1994-2016 ACD/Labs)
市场分析报告
请浏览N2-[6-[(7-硝基-2,1,3-苯并恶二唑-4-基)氨基]-1-氧代己基]-L-精氨酰-L-脯氨酰-L-赖氨酰-L-脯氨酰-L-亮氨酰-L-丙氨酰-L-正缬氨酰-L-色氨酰-N6-[2-[7-(二甲基氨基)-2-氧代-2H-1-苯并吡喃-4-基]乙酰基]-L-赖氨酰胺市场分析报告总目录
相关产品
5-硝基苯并噻吩  7-硝基苯并[b]噻吩  6-硝基-1H-苯并三唑  (S)-[2-(6-硝基-1H-苯并三唑-1-基)-1-[(苄氧基)甲基]-2-硫酮乙基]氨基甲酸叔丁酯  [(1S)-2-(6-硝基-1H-苯并三唑-1-基)-1-(苯甲基)-2-硫酮乙基]氨基甲酸叔丁酯  间硝基三氟甲苯  2-硝基三氟甲苯  4-硝基三氟甲苯  6-[(7-硝基-2,1,3-苯并恶二唑-4-基)氨基]己酸  6-[(7-硝基-2,1,3-苯并恶二唑-4-基)氨基]己酸 N-琥珀酰亚胺酯  N-[S-(7-硝基-2,1,3-苯并恶二唑-4-基)-N-[N-[[(4-硝基苯基)甲氧基]羰基]甘氨酰]-L-半胱氨酰]甘氨酸  7-硝基-2H-1,4-苯并噁嗪-3-酮  6-硝基苯并恶唑  5-硝基苯并恶唑  6-硝基-2-苯并恶唑羧酸乙酯  6-硝基苯并恶唑-2(3H)-酮  4-硝基苯甲酰乙腈  对硝基苯甲酰-beta-丙氨酸  1-(4-硝基苯甲酰基)-1H-苯并三唑  4-硝基苯甲酰氯