Online Database of Chemicals from Around the World

1,12-十二烷二胺双[二[2-[2-(十二烷氧基)乙氧基]乙基]磷酸酯]盐
[CAS# 94108-72-2]

供应商目录
Alfa Chemistry 美国 询价快递  
+1 (201) 478-8534
inquiry@alfa-chemistry.com
化学品供销商 (2012年起)
chemBlink 标准供应商 (2012年起)
1,12-十二烷二胺双[二[2-[2-(十二烷氧基)乙氧基]乙基]磷酸酯]盐供应商总目录
基本信息
英文名 1,12-Dodecanediamine bis[bis[2-[2-(dodecyloxy)ethoxy]ethyl] phosphate]
产品名称 1,12-十二烷二胺双[二[2-[2-(十二烷氧基)乙氧基]乙基]磷酸酯]盐
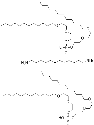
分子结构 CAS 登录号:94108-72-2, 1,12-十二烷二胺双[二[2-[2-(十二烷氧基)乙氧基]乙基]磷酸酯]盐
分子式 2(C32H67O8P).C12H28N2
分子量 1422.05
CAS 登录号 94108-72-2
EC 号码 302-411-3
市场分析报告
请浏览1,12-十二烷二胺双[二[2-[2-(十二烷氧基)乙氧基]乙基]磷酸酯]盐市场分析报告总目录
相关产品
(1S,2S,3aR,4R,4aS,4bS,6R,8S,8aS,9aR,10R,10aR)-十二氢-2,4a,6,9a-四甲基环戊二烯并[b]芴-1,3a,4,6,8,8a,10(1H,4H)-七醇 4,8,8a,10-四乙酸酯 1-苯甲酸酯  十二氢苯并菲  丁位十二内酯  十二甲基环己硅烷  十二甲基环六硅氧烷  十二甲基五硅氧烷  十二烷基伯胺  十二烷  1,12-十二烷双磷酸  1,12-二氨基十二烷  1,12-十二烷二腈  正十二烷二元酸  十二烷二酸钠盐与三乙醇胺的化合物  1,2-十二烷二醇  1,12-十二烷二醇  1,12-十二烷二醇二甲基丙烯酸酯  十二烷二酰二氯  十二烷二羧酸二酰肼  十二腈  过氧十二烷酸