Online Database of Chemicals from Around the World

[1,2-乙烷二基二[[(膦酰甲基)亚氨基]-2,1-乙二基[(膦酰甲基)亚氨基]-2,1-乙二基次氮基二(亚甲基)]]四膦酸八钠盐
[CAS# 93892-80-9]

基本信息
英文名 [1,2-Ethanediylbis[[(phosphonomethyl)imino]-2,1-ethanediyl[(phosphonomethyl)imino]-2,1-ethanediylnitrilobis(methylene)]]tetrakis-phosphonic acid octasodium salt
产品名称 [1,2-乙烷二基二[[(膦酰甲基)亚氨基]-2,1-乙二基[(膦酰甲基)亚氨基]-2,1-乙二基次氮基二(亚甲基)]]四膦酸八钠盐
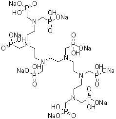
分子结构 CAS 登录号:93892-80-9, [1,2-乙烷二基二[[(膦酰甲基)亚氨基]-2,1-乙二基[(膦酰甲基)亚氨基]-2,1-乙二基次氮基二(亚甲基)]]四膦酸八钠盐
分子式 C18H44N6O24P8.Na8
分子量 1160.28
CAS 登录号 93892-80-9
EC 号码 299-567-7
市场分析报告
请浏览[1,2-乙烷二基二[[(膦酰甲基)亚氨基]-2,1-乙二基[(膦酰甲基)亚氨基]-2,1-乙二基次氮基二(亚甲基)]]四膦酸八钠盐市场分析报告总目录
相关产品
2,2'-[1,2-乙二基双(氧)]双[5-氟苯胺]  N,N'-[1,2-乙二基双[氧(4-氟-2,1-苯基)]]双[N-(羧甲基)甘氨酸]  N,N'-[1,2-乙二基双[氧(4-氟-2,1-苯基)]]双[N-(羧甲基)甘氨酸]四钾盐  (17alpha)-3,3-[1,2-乙烷二基双(氧基)]-17-羟基-19-去甲孕甾-5(10),9(11)-二烯-21-腈  9,9'-[1,2-乙烷二基双(氧基亚甲基)]双[2-氨基-1,9-二氢-6H-嘌呤-6-酮]  N,N'-[1,2-乙烷二基二[氧基(4-硝基-2,1-亚苯基)]]二[N-(2-乙氧基-2-氧代乙基)甘氨酸]二乙酯  N,N'-[1,2-乙基双(氧-2,1-苯基)]双[N-(羧甲基)甘氨酸 1,1'-双[2-(辛氧基)乙基]酯  1,2-双(2-氨基苯氧基)乙烷-N,N,N',N'-四乙酸四钠盐  N,N'-[1,2-亚乙基双(氧基-2,1-亚苯基)]双[N-(2-乙氧基-2-氧代乙基)甘氨酸二乙酯  N,N'-[1,2-乙烷二基二(氧基-3,1-丙烷二基)]二[1-[5-[(2S)-1-(N-甲基-L-丙氨酰-L-缬氨酰)-2-吡咯烷基]-3-吡啶基]-1H-吲哚-4-甲酰胺  N,N''-1,2-乙烷二基二(1,3-丙二胺)与环己烷和过氧化N-丁基-2,2,6,6-四甲基-4-哌啶胺-2,4,6-三氯-1,3,5-三嗪的反应产物  7,7'-(1,2-乙二基二亚氨基)二[1-环丙基-6-氟-1,4-二氢-8-甲氧基-4-氧代-3-喹啉羧酸]  胺苯磺隆  乙胺硫酸盐 (2:1)  乙烷  乙二醛单肟  乙二胺二氢碘化物  1,2-乙二胺一水合物  1,2-乙二胺与癸二酸的聚合物硬脂酸盐  [mu-[乙二酸基]]双[乙二酸基]二镥水合物