Online Database of Chemicals from Around the World

Hydroxypropyl cellulose
[CAS# 9004-64-2]

List of Suppliers
Simagchem Corporation China Inquire  
+86 13806087780
sale@simagchem.com
Chemical manufacturer since 2002
chemBlink standard supplier since 2008
Anhui Shanhe Medicinal Accessary Material Co., Ltd. China Inquire  
+86 (554) 331-4180
yvonne@sunhere-excipients.com
zhouxy3412@163.com
Chemical manufacturer since 2001
chemBlink standard supplier since 2009
Hefei TNJ Chemical Industry Co., Ltd. China Inquire  
+86 (551) 6541-8684
sales@tnjchem.com
Chemical manufacturer since 2001
chemBlink standard supplier since 2010
BOC Sciences USA Inquire  
+1 (631) 485-4226
info@bocsci.com
Chemical manufacturer
chemBlink standard supplier since 2010
Beckmann-Kenko GmbH Germany Inquire  
+49 (4241) 930-888
info@beckmann-kenko.com
Chemical distributor
chemBlink standard supplier since 2011
Alfa Chemistry USA Inquire  
+1 (201) 478-8534
inquiry@alfa-chemistry.com
Chemical distributor since 2012
chemBlink standard supplier since 2012
Medilink Pharmachem India Inquire  
+91 (79) 3007-0133
exports@medilinkpharma.com
Chemical distributor since 1996
chemBlink standard supplier since 2014
Hangzhou Leap Chem Co., Ltd. China Inquire  
+86 (571) 8771-1850
market19@leapchem.com
QQ chat
Chemical manufacturer since 2006
chemBlink standard supplier since 2015
Complete supplier list of Hydroxypropyl cellulose
Identification
Classification Biochemical >> Carbohydrate >> Polysaccharide
Name Hydroxypropyl cellulose
Synonyms Klucel; HPC
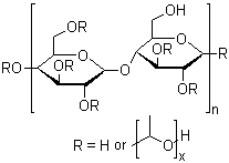
Molecular Structure CAS # 9004-64-2 (78214-41-2), Hydroxypropyl cellulose, Klucel, HPC
Molecular Weight ~10000
CAS Registry Number 9004-64-2 (78214-41-2)
EC Number 618-388-0
SMILES N(C)(C)c1cc(c(cc1)C(N)CC)C
Properties
Density 0.5 g/mL (25 ºC) (Expl.)
Solubility H2O: insoluble, polar organic solvents: soluble (Expl.)
Safety Data
Safety Description S24/25    Details
Hazard Classification
up    Details
HazardClassCategory CodeHazard Statement
Specific target organ toxicity - single exposureSTOT SE3H335
Acute toxicityAcute Tox.4H302
Eye irritationEye Irrit.2H319
Acute toxicityAcute Tox.4H332
Skin irritationSkin Irrit.2H315
SDS Available
up Discovory and Applicatios
Hydroxypropyl cellulose (HPC) is a non-ionic, water-soluble cellulose ether produced by the reaction of cellulose with propylene oxide. The substitution introduces hydroxypropyl groups (–CH2CHOHCH3) onto the hydroxyl sites of the cellulose backbone. This chemical modification imparts unique properties to HPC, including solubility in both water and polar organic solvents, thermoplasticity, and film-forming capability. Its molecular formula varies depending on the degree of substitution and polymer chain length.

HPC was developed in the mid-20th century as part of broader efforts to create cellulose derivatives with improved solubility and processing characteristics. Traditional cellulose is insoluble in water and most organic solvents, limiting its applications. Chemical modification with hydroxypropyl groups introduced amphiphilic properties, allowing HPC to dissolve in cold water and certain organic media while retaining film strength and flexibility. It was commercialized for industrial, pharmaceutical, and food-related uses shortly thereafter.

Pharmaceutically, hydroxypropyl cellulose is extensively used as a binder, film former, thickener, and stabilizer. It is employed in tablet formulations to promote cohesion during granulation and compression. HPC is also used in controlled-release drug delivery systems, where its ability to swell in water and form viscous gels helps modulate the release rate of active ingredients. In ophthalmic preparations, HPC serves as a lubricant and viscosity enhancer in artificial tear solutions, helping to relieve dry eye symptoms by prolonging contact time on the ocular surface.

One notable property of HPC is its thermoreversible gelation. Aqueous solutions of HPC are liquid at room temperature but form gels upon heating, a behavior attributed to hydrophobic interactions among hydroxypropyl groups. This feature is used in certain topical or transdermal formulations where gel formation upon application provides ease of use and improved retention.

In the food industry, HPC is approved as a food additive (E463) and serves as a thickener, emulsifier, and film-coating agent. It is used in products such as confections, baked goods, and dietary supplements. Its non-toxic and non-allergenic nature supports its wide acceptance in consumer products.

Industrially, hydroxypropyl cellulose is applied in coatings, adhesives, inks, and cosmetics. In printing inks, it improves pigment dispersion and stability. In cosmetics and personal care products, it is included as a thickener and film former in formulations such as lotions, creams, and hair styling agents. Its solubility in ethanol makes it particularly useful in alcohol-based systems, such as hair sprays and fragrance gels.

HPC is commercially available in various molecular weight grades, which determine its viscosity in solution. These grades are selected based on application requirements, such as film thickness, gelling behavior, or drug release characteristics. The degree of substitution and molecular weight influence not only solubility and viscosity but also mechanical properties and bioadhesiveness.

In biomedical research, HPC is investigated for applications such as mucoadhesive drug delivery systems, bioadhesive films, and nanofiber scaffolds. Its biocompatibility and film-forming ability make it a suitable candidate for applications requiring sustained contact with mucosal tissues or controlled drug diffusion.

Hydroxypropyl cellulose is stable under normal storage conditions and exhibits good compatibility with a wide range of pharmaceutical excipients. It is resistant to microbial degradation in dry form but should be formulated with appropriate preservatives when used in aqueous solution. Its low toxicity, non-irritating properties, and regulatory approval in multiple regions further support its widespread use.

In summary, hydroxypropyl cellulose is a versatile cellulose ether known for its water and organic solvent solubility, thermogelling behavior, and film-forming capabilities. It is widely used in pharmaceutical, food, cosmetic, and industrial formulations as a binder, thickener, emulsifier, and delivery matrix, supported by its safety, stability, and functional performance.
Market Analysis Reports
List of Reports Available for Hydroxypropyl cellulose
Related Products
L-(+)-9-(2-Hydroxypropyl)adenine  (R)-(+)-9-(2-Hydroxypropyl)adenine  4-(3-Hydroxypropylamino)-1,3-dimethyluracil  5-[1-Hydroxy-2-(propylamino)ethyl]-1,3-benzenediol  2-[[[2-[(3-Hydroxypropyl)amino]-9-(1-methylethyl)-9H-purin-6-yl]amino]methyl]phenol  2-[(2-Hydroxypropyl)amino]-2-phenylacetophenone hydrochloride  1-[2-[2-Hydroxy-3-(propylamino)propoxy]phenyl]-3-phenyl-2-propen-1-one  (6S)-(-)-5-Hydroxy-N-propyl-2-aminotetralin hydrobromide  N-(2-Hydroxypropyl)benzenesulphonamide  N-(3-Hydroxypropyl)carbamic acid benzyl ester  N-(2-Hydroxypropyl)cocamide  Hydroxypropyl-beta-cyclodextrin  (2-Hydroxypropyl)dimethylammonium chloride  N-(2-Hydroxypropyl)ethylenediamine  5-Hydroxy-4-propyl-2(5H)-furanone  2-Hydroxypropyl guar gum  1-[1-(2-Hydroxypropyl)-1H-indol-3-yl]ethanone  2-Hydroxypropyl laurate  2-Hydroxypropyl methacrylate  Hydroxypropyl methyl cellulose