Online Database of Chemicals from Around the World

Arabinotriose
[CAS# 89315-59-3]

List of Suppliers
Carbosynth China Ltd. China Inquire  
+86 (512) 6260-5585
sales@carbosynth.com
QQ chat
Chemical manufacturer since 2006
chemBlink standard supplier since 2016
Complete supplier list of Arabinotriose
Identification
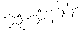
Name Arabinotriose
Synonyms O-alpha-L-Arabinofuranosyl-(1→5)-O-alpha-L-arabinofuranosyl-(1→5)-L-arabinose
Molecular Structure CAS # 89315-59-3, Arabinotriose, O-alpha-L-Arabinofuranosyl-(1→5)-O-alpha-L-arabinofuranosyl-(1→5)-L-arabinose
Molecular Formula C15H26O13
Molecular Weight 414.36
CAS Registry Number 89315-59-3
Properties
Solubility Soluble (70 g/L) (25 ºC), Calc.*
Density 1.68±0.1 g/cm3 (20 ºC 760 Torr), Calc.*
* Calculated using Advanced Chemistry Development (ACD/Labs) Software V11.02 (©1994-2016 ACD/Labs)
Market Analysis Reports
List of Reports Available for Arabinotriose
Related Products
Argatroban Impurity 38  Argatroban Impurity 4  Argatroban Impurity B  Argatroban M1 metabolite  Argatroban Related Impurity 2  DL-Arabinose  D-(-)-Arabinose  D-Arabinose diethyl dithioacetal  Arabinoside  Arabinotetraose  Arabinoxylan  D-(+)-Arabitol  L-(-)-Arabitol  Arachidonic acid  Arachidonic acid ethyl ester  Arachidonylethanolamide  Arainosine  Aramchol  Aranciamycin  Araneosol