Online Database of Chemicals from Around the World

O-2-乙酰氨基-2-脱氧-alpha-D-半乳糖基-(1→3)-O-beta-D-半乳糖基-(1→3)-2-乙酰氨基-2-脱氧-D-葡萄糖
[CAS# 886750-14-7]

基本信息
英文名 O-2-Acetamido-2-deoxy-alpha-D-galactosyl-(1 → 3)-O-beta-D-galactosyl-(1 → 3)-2-acetamido-2-deoxy-D-glucose
产品名称 O-2-乙酰氨基-2-脱氧-alpha-D-半乳糖基-(1→3)-O-beta-D-半乳糖基-(1→3)-2-乙酰氨基-2-脱氧-D-葡萄糖
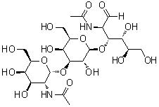
分子结构 CAS 登录号:886750-14-7, O-2-乙酰氨基-2-脱氧-alpha-D-半乳糖基-(1→3)-O-beta-D-半乳糖基-(1→3)-2-乙酰氨基-2-脱氧-D-葡萄糖
分子式 C22H38N2O16
分子量 586.54
CAS 登录号 886750-14-7
物理化学性质
溶解度 溶解 (65 g/L) (25 ºC), 计算值*
密度 1.60±0.1 g/cm3 (20 ºC 760 torr), 计算值*
* 使用计算软件 Advanced Chemistry Development (ACD/Labs) V11.02 (©1994-2016 ACD/Labs)
市场分析报告
请浏览O-2-乙酰氨基-2-脱氧-alpha-D-半乳糖基-(1→3)-O-beta-D-半乳糖基-(1→3)-2-乙酰氨基-2-脱氧-D-葡萄糖市场分析报告总目录
相关产品
D-2-(乙酰氨基)丁酸  4-乙酰氨基-3-氯苯甲酸  2-甲氧基-4-乙酰胺基-5-氯苯甲酸  2-乙酰氨基-4-氯-5-甲基苯酚  (S)-2-乙酰胺基-4-氯苯丙氨酸  (R)-2-乙酰胺基-4-氯苯丙氨酸  2-乙酰基-6-氯嘌呤  4-乙酰氨基-2-氯吡啶  6-乙酰氨基-4-二氢色原酮  反式-4-乙酰氨基环己醇  乙酰天麻素  1,1-二乙氧基乙烷  乙醛  1-(苄氧基)-1-乙氧基乙烷  乙醛乙基芳樟基缩醛  乙醛肟  乙酰胺  乙酰胺巴瑞克替尼杂质  盐酸乙脒  4-乙酰氨基苯乙酮