Online Database of Chemicals from Around the World

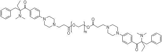
聚乙二醇二(beta-4-[4-(2-二甲基氨基-2-苄基)丁酰基苯基]哌嗪)丙酸酯
[CAS# 886463-10-1]

基本信息
英文名 Polyethylene glycol di(beta-4-[4-(2-dimethylamino-2-benzyl)butaonylphenyl]piperazine)propionate
产品名称 聚乙二醇二(beta-4-[4-(2-二甲基氨基-2-苄基)丁酰基苯基]哌嗪)丙酸酯
分子结构 CAS 登录号:886463-10-1, 聚乙二醇二(beta-4-[4-(2-二甲基氨基-2-苄基)丁酰基苯基]哌嗪)丙酸酯
分子式 C52H68N6O5.(C2H4O)n
CAS 登录号 886463-10-1
EC 号码 806-887-8
市场分析报告
请浏览聚乙二醇二(beta-4-[4-(2-二甲基氨基-2-苄基)丁酰基苯基]哌嗪)丙酸酯市场分析报告总目录
相关产品
聚(3,4-亚乙二氧基噻吩)-聚(苯乙烯磺酸)  聚乙二醇  聚乙二醇己二酸酯  聚乙二醇双(2-羧基乙基)醚  聚(乙烯乙二醇)双(羧甲基)醚  聚乙二醇二(对二甲基氨基苯甲酸)酯  聚乙二醇单丁醚  十六烷醇聚氧乙烯醚  聚乙二醇二丙烯酸酯  聚氧乙烯二胺  聚乙二醇二月桂酸酯  聚乙二醇二甲基丙烯酸酯  聚乙二醇二甲醚  聚碳酸酯树脂  聚卡波非  氯丁橡胶  聚(4-氯苯乙烯)  甲醛与环氧氯丙烷和邻甲基苯酚的聚合物  聚(1,4-环己烷二甲醇己二酸酯)  虎杖甙