Online Database of Chemicals from Around the World

2-(十八烷基硫基)乙基 4-O-alpha-D-吡喃半乳糖基-beta-D-吡喃半乳糖苷
[CAS# 87019-34-9]

基本信息
英文名 2-(Octadecylthio)ethyl 4-O-alpha-D-galactopyranosyl-beta-D-galactopyranoside
产品名称 2-(十八烷基硫基)乙基 4-O-alpha-D-吡喃半乳糖基-beta-D-吡喃半乳糖苷
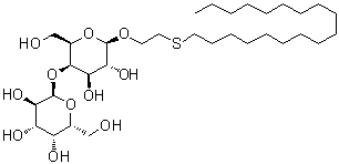
分子结构 CAS 登录号:87019-34-9, 2-(十八烷基硫基)乙基 4-O-alpha-D-吡喃半乳糖基-beta-D-吡喃半乳糖苷
分子式 C32H62O11S
分子量 654.89
CAS 登录号 87019-34-9
物理化学性质
溶解度 不溶 (5.0e-4 g/L) (25 ºC), 计算值*
密度 1.21±0.1 g/cm3 (20 ºC 760 torr), 计算值*
* 使用计算软件 Advanced Chemistry Development (ACD/Labs) V11.02 (©1994-2014 ACD/Labs)
安全数据
SDS 化学品安全技术说明书参考文本
市场分析报告
请浏览2-(十八烷基硫基)乙基 4-O-alpha-D-吡喃半乳糖基-beta-D-吡喃半乳糖苷市场分析报告总目录
相关产品
八氢吲哚-2-羧酸  (3aalpha,4aalpha,8aalpha,9aalpha)-3a,4,4a,5,8,8a,9,9a-八氢-1H-苯并[f]茚  5,6,7,7a,8,9,10,11-八氢-4H-苯并[ef]庚搭烯  1-(5,6,7,7a,8,9,10,11-八氢-4H-苯并[ef]-2-庚搭烯)乙酮  (R)-5,5',6,6',7,7',8,8'-八氢-[1,1'-联萘]-2,2'-二胺  N-十八烷基十八烷酰胺  3-十八烷基-2-[3-(3-十八烷基-2(3H)-苯并恶唑-2-亚基)-1-丙烯-1-基]苯并恶唑鎓高氯酸盐  4-(十八烷氧基)-1,3-苯二胺  2-[(十八烷氧基)甲基]吡啶  硬脂酸十八醇酯  2-(十八烷基硫基)乙基 O-alpha-D-吡喃葡萄糖基-(1→6)-O-alpha-D-吡喃葡萄糖基-(1→4)-O-alpha-D-吡喃葡萄糖基-(1→4)-beta-D-吡喃葡萄糖苷  N-十八烷基-1,3,5-三嗪-2,4,6-三胺  十八烷基三氯硅烷  十八烷基三乙氧基硅烷  三氟乙酸十八烷基酯  十八烷基三甲氧基硅烷  十八烷基三甲基氯化铵  十八烷基乙烯基醚  2-十八碳炔酸甲酯  十八烷基三甲基溴化铵