Online Database of Chemicals from Around the World

[2,4-二氢-4-[(2-羟基-5-硝基苯基)偶氮]-5-甲基-3H-吡唑-3-酮][3-羟基-4-[(2-羟基-1-萘基)偶氮]-7-硝基-1-萘磺酸基]氢铬酸钠盐
[CAS# 85865-89-0]

基本信息
产品分类 有机原料 >> 芳基化合物 >> 萘及其`衍生物
英文名 Sodium hydrogen [2,4-dihydro-4-[(2-hydroxy-5-nitrophenyl)azo]-5-methyl-3H-pyrazol-3-onato][3-hydroxy-4-[(2-hydroxy-1-naphthalenyl)azo]-7-nitro-1-naphthalenesulfonato]chromate
产品名称 [2,4-二氢-4-[(2-羟基-5-硝基苯基)偶氮]-5-甲基-3H-吡唑-3-酮][3-羟基-4-[(2-羟基-1-萘基)偶氮]-7-硝基-1-萘磺酸基]氢铬酸钠盐
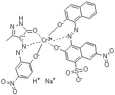
分子结构 CAS 登录号:85865-89-0, [2,4-二氢-4-[(2-羟基-5-硝基苯基)偶氮]-5-甲基-3H-吡唑-3-酮][3-羟基-4-[(2-羟基-1-萘基)偶氮]-7-硝基-1-萘磺酸基]氢铬酸钠盐
分子式 C30H17CrN8O11S.H.Na
分子量 773.56
CAS 登录号 85865-89-0
EC 号码 288-689-6
市场分析报告
请浏览[2,4-二氢-4-[(2-羟基-5-硝基苯基)偶氮]-5-甲基-3H-吡唑-3-酮][3-羟基-4-[(2-羟基-1-萘基)偶氮]-7-硝基-1-萘磺酸基]氢铬酸钠盐市场分析报告总目录
相关产品
氟锆酸钠  多聚磷酸钠  硫代硫酸 S,S'-1,6-己二醇酯二钠盐  1-己烷磺酸钠  1-己烷磺酸钠一水合物  透明质酸钠  氢化钠  [1-[(5-氯-2-羟基苯基)偶氮]-2-萘酚][4-羟基-3-[(2-羟基-4-硝基苯基)偶氮]-1-萘磺酸基]铬酸氢钠  二(三氘乙酸)氢钠盐  氟化氢钠  二乙烯三胺五乙酸铁-钠络合物  草酸氢钠  邻苯二甲酸氢钠  哌嗪-1,4-二乙磺酸单钠盐  癸二酸单钠  酒石酸氢钠  5-氢全氟戊酸钠  硫氢化钠  硫氢化钠水合物  氢氧化钠