Online Database of Chemicals from Around the World

紫杉吉酚
[CAS# 81489-69-2]

供应商目录
CAS: 81489-69-2
产品: 紫杉吉酚
暂时没有厂家供应
基本信息
产品分类 天然产物 >> 萜类
英文名 Taxagifine
别名 Taxagifin
产品名称 紫杉吉酚
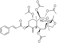
分子结构 CAS 登录号:81489-69-2, 紫杉吉酚
分子式 C37H44O13
分子量 696.74
CAS 登录号 81489-69-2
物理化学性质
溶解度 几乎不溶 (0.028 g/L) (25 ºC), 计算值*
密度 1.32±0.1 g/cm3 (20 ºC 760 torr), 计算值*
* 使用计算软件 Advanced Chemistry Development (ACD/Labs) V11.02 (©1994-2014 ACD/Labs)
市场分析报告
请浏览紫杉吉酚市场分析报告总目录
相关产品
Tationil  Tat-NR2B9c TFA  氟胺氰菊酯  牛磺酸  牛磺鹅去氧胆酸  滔罗林  牛磺熊去氧胆酸  牛磺熊去氧胆酸钠盐  紫杉三烯乙素  东北红豆杉素  紫杉碱 M  云南红豆杉酯甲  紫杉叶素  (-)-花旗松素  花旗松素 3'-葡糖苷  紫杉叶素 3-O-beta-D-吡喃木糖苷  紫杉碱B  紫杉宁  紫杉素 B  紫杉宁 E