Online Database of Chemicals from Around the World

4-tert-Butylcalix[6]arene
[CAS# 78092-53-2]

List of Suppliers
Capot Chemical Co., Ltd. China Inquire  
+86 (571) 8558-6718
+86 13336195806
capotchem@gmail.com
sales@capotchem.com
QQ chat
Chemical manufacturer
chemBlink standard supplier since 2006
Yancheng Jiangzhong Chemicals Co., Ltd. China Inquire  
+86 (515) 8898-1987
+86 13365196093
+8613918567443
richard.li_jzchem@263.net
QQ chat
Chemical manufacturer since 1989
chemBlink standard supplier since 2011
Active biopharma Corp China Inquire  
+86 (571) 8161-2335
support@activebiopharma.com
Chemical manufacturer
chemBlink standard supplier since 2012
Chengdu Laurelsci Technology Co., Ltd. China Inquire  
+86 (28) 8798-3001
+86 18380459909
sales@laurelsci.com
QQ chat
Chemical manufacturer since 2012
chemBlink standard supplier since 2014
Eburon Organics bvba Belgium Inquire  
+32 (51) 335-068
sales@eburon-organics.com
Chemical manufacturer
Anisyn, Inc. USA Inquire  
+1 (269) 372-8736
sales@anisyn.com
Chemical manufacturer
Complete supplier list of 4-tert-Butylcalix[6]arene
Identification
Classification Chemical reagent >> Organic reagent >> Aromatic hydrocarbon reagent
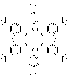
Name 4-tert-Butylcalix[6]arene
Molecular Structure CAS # 78092-53-2, 4-tert-Butylcalix[6]arene
Molecular Formula C66H84O6
Molecular Weight 973.37
CAS Registry Number 78092-53-2
EC Number 676-852-8
Properties
Melting point 300 ºC
Safety Data
Safety Description S22;S24/25    Details
Hazard Classification
up    Details
HazardClassCategory CodeHazard Statement
Reproductive toxicityRepr.2H361
Flammable solidsFlam. Sol.1H228
Skin irritationSkin Irrit.2H315
Specific target organ toxicity - single exposureSTOT SE1H370
Eye irritationEye Irrit.2H319
CarcinogenicityCarc.1AH350
Specific target organ toxicity - repeated exposureSTOT RE1H372
Acute toxicityAcute Tox.4H302
SDS Available
Market Analysis Reports
List of Reports Available for 4-tert-Butylcalix[6]arene
Related Products
tert-Butyl (7-bromopyrrolo[2,1-f][1,2,4]triazin-4-yl)carbamate  tert-Butyl (4-bromothiazol-2-yl)carbamate  tert-Butyl (4-bromothiazol-2-yl)methylcarbamate  tert-Butyl N-[(5-bromo-2-thienyl)methyl]carbamate  tert-Butyl (4-bromothiophen-2-yl)carbamate  tert-Butyl 5-bromovalerate  cis-2-tert-Butyl-2-butenedinitrile  tert-Butyl 3-butenoate  tert-Butyl N-but-3-enylcarbamate  tert-Butyl 2-butynoate  4-tert-Butylcalix[4]arene  4-tert-Butylcalix[4]arene-tetraacetic acid tetraethyl ester  4-tert-Butylcaprolactam  tert-Butyl carbamate  tert-Butylcarbamidine hydrochloride  tert-Butyl 4-carbamimidoylpiperazine-1-carboxylate  tert-Butyl 3-(bromomethyl)phenylcarbamate  tert-Butyl N-(4-bromo-2-methylphenyl)carbamate  tert-Butyl 2-(bromomethyl)phenylcarbamate  tert-Butyl 4-(bromomethyl)phenylcarbamate