Online Database of Chemicals from Around the World

Disodium capryloamphodiacetate
[CAS# 7702-01-4]

List of Suppliers
Alfa Chemistry USA Inquire  
+1 (201) 478-8534
inquiry@alfa-chemistry.com
Chemical distributor since 2012
chemBlink standard supplier since 2012
Complete supplier list of Disodium capryloamphodiacetate
Identification
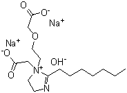
Name Disodium capryloamphodiacetate
Synonyms 1-[2-(Carboxymethoxy)ethyl]-1-(carboxymethyl)-2-heptyl-4,5-dihydro-1H-imidazolium hydroxide disodium salt; Mackam 2CY75; Miranol J 2M
Molecular Structure CAS # 7702-01-4, Disodium capryloamphodiacetate, 1-[2-(Carboxymethoxy)ethyl]-1-(carboxymethyl)-2-heptyl-4,5-dihydro-1H-imidazolium hydroxide disodium salt, Mackam 2CY75, Miranol J 2M
Molecular Formula C16H27N2O5.OH.Na2
Molecular Weight 390.38
CAS Registry Number 7702-01-4
EC Number 231-721-0
Market Analysis Reports
List of Reports Available for Disodium capryloamphodiacetate
Related Products
Disitertide  Disodium, [[5-(2,4-dioxopyrimidin-1-yl)-3,4-dihydroxyoxolan-2-yl]methoxy-oxidophosphoryl] (3,4,5-trihydroxyoxan-2-yl) phosphate  Disodium adenosine 5'-phosphate  Disodium 1-amino-4-(4-amino-3-sulfoanilino)anthraquinone-2-sulfonate  Disodium 3-aminonaphthalene-2,7-disulphonate  Disodium 8-amino-1,3,6-naphthalenetrisulfonate  Disodium 2-aminopentanedioate  Disodium Bathocuproinedisulfonate  Disodium bilirubinate  Disodium 3,3'-(2-butyne-1,4-diylbis(oxy))bis(2-hydroxypropanesulphonate)  Disodium 3,3'-carbonylbis(4-hydroxy-6-methoxybenzenesulfonate)  Disodium 7,7'-(carbonyldiimino)bis(4-hydroxynaphthalene-2-sulphonate)  Disodium [1-[(5-Chloro-2-hydroxyphenyl)azo]-2-naphthalenolato][4-hydroxy-3-[(2-hydroxy-5-nitrophenyl)azo]-7-[(1-oxo-2-propenyl)amino]-2-naphthalenesulfonato]chromate  Disodium citrate  Disodium clodronate tetrahydrate  Disodium cocoamphodiacetate  Disodium trans-crocetinate  Disodium [2,4-dihydro-4-[(2-hydroxy-5-nitrophenyl)azo]-5-methyl-2-phenyl-3H-pyrazol-3-onato][3-hydroxy-4-[(2-hydroxy-1-naphthalenyl)azo]-7-nitro-1-naphthalenesulfonato]chromate  Disodium [2,4-dihydro-4-[(2-hydroxy-5-nitrophenyl)azo]-5-methyl-2-phenyl-3H-pyrazol-3-onato(2-)][4-hydroxy-3-[(2-hydroxy-5-nitrophenyl)azo]-6-[(1-oxo-2-propenyl)amino]-2-naphthalenesulfonato]chromate  Disodium 2,5-dihydro-5-thiooxo-1H-tetrazol-1-ylmethanesulfonate