Online Database of Chemicals from Around the World

次皂苷元 CP4
[CAS# 75799-18-7]

供应商目录
成都曼思特生物科技有限公司 中国 询价快递  
+86 (28) 8528-7229
anniedai0203@gmail.com
化学品生产商 (2007年起)
chemBlink 标准供应商 (2012年起)
成都普瑞法科技开发有限公司 中国 询价快递  
+86 (28) 8263-3860
8263-3987
sales@biopurify.com
biopurify@gmail.com
QQ 交谈
Skype 聊天
化学品生产商
chemBlink 标准供应商 (2017年起)
Indofine Chemical Company, Inc. 美国 询价快递  
+1 (888) 463-6346
info@indofinechemical.com
化学品生产商 (1981年起)
次皂苷元 CP4供应商总目录
基本信息
英文名 Prosapogenin CP4
产品名称 次皂苷元 CP4
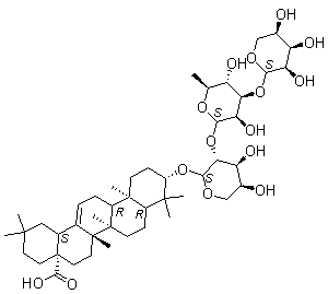
分子结构 CAS 登录号:75799-18-7, 次皂苷元 CP4
分子式 C46H74O15
分子量 867.07
CAS 登录号 75799-18-7
物理化学性质
溶解度 不溶 (7.3e-4 g/L) (25 ºc), 计算值*
密度 1.35±0.1 g/cm3 (20 ºc 760 torr), 计算值*
* 使用计算软件 Advanced Chemistry Development (ACD/Labs) V11.02 (©1994-2013 ACD/Labs)
市场分析报告
请浏览次皂苷元 CP4市场分析报告总目录
相关产品
1-丙炔基三丁基锡烷  (betaS)-beta-1-丙炔-1-基-4-[[4'-(三氟甲基)[1,1'-联苯]-3-基]甲氧基]苯丙酸  O-2-丙炔-1-基-D-酪氨酸  O-2-丙炔-1-基-L-酪氨酸  异丙安替比林  丙嗪嘧磺隆  戊炔草胺  柴胡次皂苷 A  柴胡次皂苷 F  次皂甙元 A  人参原皂苷元  原海葱甙 A  依前列醇钠  列腺素 E1  地诺前列酮  地诺前列素  地诺前列素氨丁三醇  原千金藤那布任碱  Prostratin  苄草丹