Online Database of Chemicals from Around the World

Veratrine
[CAS# 71-62-5]

List of Suppliers
BOC Sciences USA Inquire  
+1 (631) 485-4226
info@bocsci.com
Chemical manufacturer
chemBlink standard supplier since 2010
Alfa Chemistry USA Inquire  
+1 (201) 478-8534
inquiry@alfa-chemistry.com
Chemical distributor since 2012
chemBlink standard supplier since 2012
Chengdu Biopurify Phytochemicals Ltd. China Inquire  
+86 (28) 8263-3860
8263-3987
sales@biopurify.com
biopurify@gmail.com
Skype Chat
QQ chat
Chemical manufacturer
chemBlink standard supplier since 2017
Tocris Bioscience Inc. USA Inquire  
+1 (636) 207-7651
customerservice.na@bio-techne.com
Chemical manufacturer since 1982
Complete supplier list of Veratrine
Identification
Classification Organic raw materials >> Carboxylic compounds and derivatives >> Carboxylic esters and their derivatives
Name Veratrine
Synonyms 3-Veratroylveracevine; NSC 7524; Veracevine, veratrate
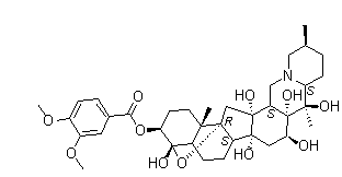
Molecular Structure CAS # 71-62-5, Veratrine, 3-Veratroylveracevine, NSC 7524, Veracevine, veratrate
Molecular Formula C36H51NO11
Molecular Weight 673.79
CAS Registry Number 71-62-5
EC Number 200-758-4
Properties
Solubility Insoluble (4.2E-3 g/L) (25 ºC), Calc.*
Density 1.45±0.1 g/cm3 (20 ºC 760 Torr), Calc.*
Melting point 180 ºC**
* Calculated using Advanced Chemistry Development (ACD/Labs) Software V11.02 (©1994-2013 ACD/Labs)
** "Hazardous Substances Data Bank" data were obtained from the National Library of Medicine (US)
Safety Data
Hazard Classification
up    Details
HazardClassCategory CodeHazard Statement
Skin irritationSkin Irrit.2H315
Eye irritationEye Irrit.2H319
Acute toxicityAcute Tox.2H330
Acute toxicityAcute Tox.2H310
Acute toxicityAcute Tox.2H300
Reproductive toxicityRepr.2H361
Specific target organ toxicity - single exposureSTOT SE3H335
SDS Available
Market Analysis Reports
List of Reports Available for Veratrine
Related Products
Venoterpine  Vepridimerine A  VER 49009  Veraguensine  Veralipride  Verapamil  (+/-)-Verapamil hydrochloride  Verapamil Related Compound D  Veratraldehyde  Veratric acid 4-chlorobutyl ester  Veratronitrile  Veratrosine  Veratrylamine  Verbascose  Verbascoside  Verbascotetraose  Verbenalin  Verbena Oil  (S)-cis-Verbenol