Online Database of Chemicals from Around the World

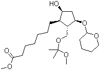
[1R-(1a,2b,3a,5a)]-5-羟基-2-[(1-甲氧基-1-甲基乙氧基)甲基]-3-[(四氢-2H-吡喃基)氧基]环戊烷庚酸甲酯
[CAS# 69810-10-2]

供应商目录
Manus Aktteva 印度 询价快递  
+91 (79) 6512-3395
products@manusakttevabiopharma.in
化学品供销商
chemBlink 标准供应商 (2008年起)
浙江奥翔药业股份有限公司 中国 询价快递  
+86 (576) 8558-9335
+86 13957690608
sales@ausunpharm.com
化学品生产商 (2011年起)
chemBlink 标准供应商 (2009年起)
上海赢瑞生物医药科技有限公司 中国 询价快递  
+86 (21) 3358-5366
3466-6753
+86 13311639313
sales02@shyrchem.com
QQ 交谈
Skype 聊天
化学品生产商 (2009年起)
chemBlink 标准供应商 (2017年起)
[1R-(1a,2b,3a,5a)]-5-羟基-2-[(1-甲氧基-1-甲基乙氧基)甲基]-3-[(四氢-2H-吡喃基)氧基]环戊烷庚酸甲酯供应商总目录
基本信息
英文名 [1R-(1a,2b,3a,5a)]-5-Hydroxy-2-[(1-methoxy-1-methylethoxy)methyl]-3-[(tetrahydro-2H-pyran-2-yl)oxy]cyclopentaneheptanoic acid methyl ester
产品名称 [1R-(1a,2b,3a,5a)]-5-羟基-2-[(1-甲氧基-1-甲基乙氧基)甲基]-3-[(四氢-2H-吡喃基)氧基]环戊烷庚酸甲酯
分子结构 CAS 登录号:69810-10-2, [1R-(1a,2b,3a,5a)]-5-羟基-2-[(1-甲氧基-1-甲基乙氧基)甲基]-3-[(四氢-2H-吡喃基)氧基]环戊烷庚酸甲酯
分子式 C23H42O7
分子量 430.58
CAS 登录号 69810-10-2
物理化学性质
密度 1.08
安全数据
SDS 化学品安全技术说明书参考文本
市场分析报告
请浏览[1R-(1a,2b,3a,5a)]-5-羟基-2-[(1-甲氧基-1-甲基乙氧基)甲基]-3-[(四氢-2H-吡喃基)氧基]环戊烷庚酸甲酯市场分析报告总目录
相关产品
3-羟基-5-甲氧基-1H-吲哚-2-甲酸乙酯  1-羟基-9-甲氧基-6H-吲哚并[3,2,1-de][1,5]萘啶-6-酮  DL-4-羟基-3-甲氧基扁桃酸  3-甲氧基-4-羟基扁桃酸  2-羟基-4-甲氧基-6-甲基苯甲酸  7-羟基-5-甲氧基-4-甲基-2H-1-苯并吡喃-2-酮  5-羟基-7-甲氧基-4-甲基-2H-1-苯并吡喃-2-酮  5-羟基-7-甲氧基-2-甲基色原酮  beta-羟基-4-甲氧基-alpha-亚甲基苯丙酸甲酯  1-(羟基甲氧基亚甲基)-1H-茚-3-甲腈  alpha-羟基-6-甲氧基-alpha-甲基-2-萘乙酸甲酯  3-羟基-N-(4-甲氧基-2-甲基苯基)-2-萘甲酰胺  2-羟基-N-(4-甲氧基-2-甲基苯基)-11H-苯并[a]咔唑-3-甲酰胺  (3R,4R,5S)-3-羟基-4-[4-[[(2S)-3-甲氧基-2-甲基丙氧基]甲基]苯基]-5-[(三苯基甲氧基)甲基]-1-哌啶羧酸苄酯  4-羟基-8-甲氧基-2-甲基喹啉  4-羟基-6-甲氧基-1-甲基-2(1H)-喹啉酮  (2E)-3-(4-羟基-8-甲氧基-2-甲基-3-喹啉基)-N-(2-甲氧基苯基)-2-丁烯酰胺  2-羟基-7-甲氧基-1-萘甲醛  3-羟基-4'-甲氧基-2-萘甲酰苯胺  2-羟基-6-甲氧基-3-萘甲酸