Online Database of Chemicals from Around the World

癸酸辛酸和戊酸与二聚季戊四醇的混合酯
[CAS# 68441-66-7]

供应商目录
聊城瑞捷化学有限公司 中国 询价快递  
+86 (635) 837-8686
lcruijie@163.com
化学品生产商
chemBlink 标准供应商 (2007年起)
Alfa Chemistry 美国 询价快递  
+1 (201) 478-8534
inquiry@alfa-chemistry.com
化学品供销商 (2012年起)
chemBlink 标准供应商 (2012年起)
癸酸辛酸和戊酸与二聚季戊四醇的混合酯供应商总目录
基本信息
英文名 Decanoic acid mixed esters with dipentaerythritol octanoic acid and valeric acid
产品名称 癸酸辛酸和戊酸与二聚季戊四醇的混合酯
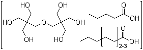
分子结构 CAS 登录号:68441-66-7, 癸酸辛酸和戊酸与二聚季戊四醇的混合酯
CAS 登录号 68441-66-7
EC 号码 270-470-1
市场分析报告
请浏览癸酸辛酸和戊酸与二聚季戊四醇的混合酯市场分析报告总目录
相关产品
癸二酰二氯  1,10-癸二硫醇  1,1'-(1,10-癸烷二基)二[六氢-1-甲基-1H-氮杂卓鎓]二溴化物  1-癸烷膦酸  1-癸硫醇  癸酸  癸酸 5-溴-1H-吲哚-3-酯  癸酸铈盐(1:?)  癸酸 3-甲基丁酯  癸酸辛酸混合物丙二醇酯  癸醇  丁位癸内酯  3-癸酮  2-癸酮  混合辛癸酸甘油单酯  癸酰氯  N-癸酰-N-(2-羟基乙基)葡萄糖胺  N-癸酰基吗啉  辛癸酸甘油酯  (R)-3-(癸酰氧基)十四烷酸