| 山东省泰和水处理有限公司 | 中国 | 询价快递 | ||
|---|---|---|---|---|
![]() |
+86 (632) 511-3066 | |||
![]() |
th@thwater.com | |||
| 化学品生产商 | ||||
| chemBlink 标准供应商 (2008年起) | ||||
| 厦门志信化学有限公司 | 中国 | 询价快递 | ||
|---|---|---|---|---|
![]() |
+86 13806087780 | |||
![]() |
sale@simagchem.com | |||
| 化学品生产商 (2002年起) | ||||
| chemBlink 标准供应商 (2008年起) | ||||
| 合肥天健化工有限公司 | 中国 | 询价快递 | ||
|---|---|---|---|---|
![]() |
+86 (551) 6541-8684 | |||
![]() |
sales@tnjchem.com | |||
| 化学品生产商 (2001年起) | ||||
| chemBlink 标准供应商 (2010年起) | ||||
| BOC Sciences | 美国 | 询价快递 | ||
|---|---|---|---|---|
![]() |
+1 (631) 485-4226 | |||
![]() |
info@bocsci.com | |||
| 化学品生产商 | ||||
| chemBlink 标准供应商 (2010年起) | ||||
| Riverland Trading LLC. | 美国 | 询价快递 | ||
|---|---|---|---|---|
![]() |
+1 (336).944-2293 | |||
![]() |
bens@riverlandtrading.com | |||
| 化学品供销商 | ||||
| chemBlink 标准供应商 (2023年起) | ||||
| 枣庄市鑫泰水处理技术有限公司 | 中国 | 询价快递 | ||
|---|---|---|---|---|
![]() |
+86 (632) 346-1066 | |||
![]() |
xintaiwater@163.com | |||
| 化学品生产商 | ||||
| Changzhou Yao's Tongde Chemical Co., Ltd. | 中国 | 询价快递 | ||
|---|---|---|---|---|
![]() |
+86 (519) 8873-3208 8893-2391 | |||
![]() |
info@watercondipioning.com | |||
| 化学品生产商 | ||||
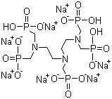
| 英文名 | Diethylenetriamine penta(methylene phosphonic acid) heptasaodium salt |
|---|---|
| 别名 | DTPMP heptasaodium salt |
| 产品名称 | 二亚乙基三胺五亚甲基膦酸七钠盐; 二乙烯三胺五甲叉膦酸七钠盐 |
| 分子结构 | ![]() |
| 分子式 | C9H21N3Na7O15P5 |
| 分子量 | 727.07 |
| CAS 登录号 | 68155-78-2 |
| EC 号码 | 268-990-9 |
| 危害分类 | |||||||||||||||||||||||||||||||||
|---|---|---|---|---|---|---|---|---|---|---|---|---|---|---|---|---|---|---|---|---|---|---|---|---|---|---|---|---|---|---|---|---|---|
| |||||||||||||||||||||||||||||||||
| 市场分析报告 |
| 请浏览二亚乙基三胺五亚甲基膦酸七钠盐市场分析报告总目录 |