Online Database of Chemicals from Around the World

披针叶五味子二内酯 C
[CAS# 663176-26-9]

供应商目录
成都普瑞法科技开发有限公司 中国 询价快递  
+86 (28) 8263-3860
8263-3987
sales@biopurify.com
biopurify@gmail.com
QQ 交谈
Skype 聊天
化学品生产商
chemBlink 标准供应商 (2017年起)
Indofine Chemical Company, Inc. 美国 询价快递  
+1 (888) 463-6346
info@indofinechemical.com
化学品生产商 (1981年起)
披针叶五味子二内酯 C供应商总目录
基本信息
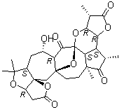
英文名 Lancifodilactone C
产品名称 披针叶五味子二内酯 C
分子结构 CAS 登录号:663176-26-9, 披针叶五味子二内酯 C
分子式 C29H36O10
分子量 544.59
CAS 登录号 663176-26-9
物理化学性质
溶解度 微溶 (1.5 g/L) (25 ºC), 计算值*
密度 1.45±0.1 g/cm3 (20 ºC 760 torr), 计算值*
熔点 209-211 ºC (m乙醇 )**
* 使用计算软件 Advanced Chemistry Development (ACD/Labs) V11.02 (©1994-2013 ACD/Labs)
** Li, Rong-Tao; Journal of Natural Products 2004, V67(1), P94-97.
市场分析报告
请浏览披针叶五味子二内酯 C市场分析报告总目录
相关产品
拉米夫定杂质2  拉米夫定杂质27  拉米夫定杂质G  水杨酸拉米呋啶  拉米夫定-齐多夫定混合物  拉莫三嗪-13C3,d3  拉莫三嗪  Lanatacanth  毛花苷 C  羊毛脂  披针叶五味子二内酯 F  Lancifolin C  兰考韦泰  兰地洛尔  盐酸兰地洛尔  (4S,5R,6R)-5-乙酰氨基-4-胍基-6-((1R,2R)-2,3-二羟基-1-甲氧基丙基)-5,6-二氢-4H-吡喃-2-甲酸  辛酸拉尼米韦  拉诺康唑  羊毛脂  乙酰化羊毛脂