Online Database of Chemicals from Around the World

麦冬皂苷 C
[CAS# 65586-25-6]

供应商目录
成都普瑞法科技开发有限公司 中国 询价快递  
+86 (28) 8263-3860
8263-3987
sales@biopurify.com
biopurify@gmail.com
QQ 交谈
Skype 聊天
化学品生产商
chemBlink 标准供应商 (2017年起)
Indofine Chemical Company, Inc. 美国 询价快递  
+1 (888) 463-6346
info@indofinechemical.com
化学品生产商 (1981年起)
麦冬皂苷 C供应商总目录
基本信息
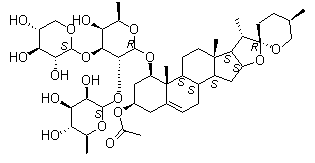
英文名 Ophiopogonin C
产品名称 麦冬皂苷 C
分子结构 CAS 登录号:65586-25-6, 麦冬皂苷 C
分子式 C46H72O17
分子量 897.05
CAS 登录号 65586-25-6
市场分析报告
请浏览麦冬皂苷 C市场分析报告总目录
相关产品
OO-叔丁基 O-异丙基过氧碳酸酯  OO-叔丁基单过氧邻苯二甲酸酯  OP 1118  麦冬二氢高异黄酮 A  沿阶草酮 B  沿阶草酮 C  麦冬黄烷酮 E  沿阶草酮 F  麦冬皂苷 A  麦冬皂苷 B  麦冬皂苷 D'  麦冬皂苷 D  Ophiopogonoside A  麦冬呋甾皂苷 A  Ophiopojaponin A  双肼酞嗪  Opicapone  奥匹哌醇  鸦片