Online Database of Chemicals from Around the World

1-Kestoheptaose
[CAS# 62512-20-3]

List of Suppliers
Chengdu Biopurify Phytochemicals Ltd. China Inquire  
+86 (28) 8263-3860
8263-3987
sales@biopurify.com
biopurify@gmail.com
Skype Chat
QQ chat
Chemical manufacturer
chemBlink standard supplier since 2017
Complete supplier list of 1-Kestoheptaose
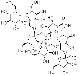
Identification
Name 1-Kestoheptaose
Synonyms O-beta-D-Fructofuranosyl-(2→1)-O-beta-D-fructofuranosyl-(2→1)-O-beta-D-fructofuranosyl-(2→1)-O-beta-D-fructofuranosyl-(2→1)-O-beta-D-fructofuranosyl-(2→1)-beta-D-fructofuranosyl alpha-D-glucopyranoside
Molecular Structure CAS # 62512-20-3, 1-Kestoheptaose, O-beta-D-Fructofuranosyl-(2→1)-O-beta-D-fructofuranosyl-(2→1)-O-beta-D-fructofuranosyl-(2→1)-O-beta-D-fructofuranosyl-(2→1)-O-beta-D-fructofuranosyl-(2→1)-beta-D-fructofuranosyl alpha-D-glucopyranoside
Molecular Formula C42H72O36
Molecular Weight 1153.00
CAS Registry Number 62512-20-3
Properties
Density 1.89±0.1 g/cm3 (20 ºC 760 Torr), Calc.*
* Calculated using Advanced Chemistry Development (ACD/Labs) Software V11.02 (©1994-2018 ACD/Labs)
Market Analysis Reports
List of Reports Available for 1-Kestoheptaose
Related Products
(1R)-(-)-Ketopinic acid  Ketopinic acid  (1S)-(+)-Ketopinic acid  Ken-React LZ 09  Ken-React LZ 44  Ken-React NZ 12  Ken-React NZ 37  delta-Kephalin  Keratins  Kerosene  1,1,1,1-Kestohexaose  Ketamine  Ketamine hydrochloride  (S)-(+)-Ketamine hydrochloride  Ketanserin  Ketanserin tartrate  3-Keto Abiraterone  7-Ketoabiraterone acetate  2-Ketoadipic acid  15-ketobimatoprost