Online Database of Chemicals from Around the World

Cellohexaitol
[CAS# 61425-46-5]

List of Suppliers
Carbosynth China Ltd. China Inquire  
+86 (512) 6260-5585
sales@carbosynth.com
QQ chat
Chemical manufacturer since 2006
chemBlink standard supplier since 2016
Complete supplier list of Cellohexaitol
Identification
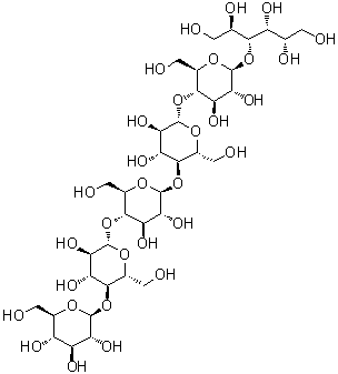
Name Cellohexaitol
Synonyms O-beta-D-Glucopyranosyl-(1→4)-O-beta-D-glucopyranosyl-(1→4)-O-beta-D-glucopyranosyl-(1→4)-O-beta-D-glucopyranosyl-(1→4)-O-beta-D-glucopyranosyl-(1→4)-D-glucitol
Molecular Structure CAS # 61425-46-5, Cellohexaitol, O-beta-D-Glucopyranosyl-(1→4)-O-beta-D-glucopyranosyl-(1→4)-O-beta-D-glucopyranosyl-(1→4)-O-beta-D-glucopyranosyl-(1→4)-O-beta-D-glucopyranosyl-(1→4)-D-glucitol
Molecular Formula C36H64O31
Molecular Weight 992.87
CAS Registry Number 61425-46-5
Properties
Solubility Soluble (45 g/L) (25 ºC), Calc.*
Density 1.84±0.1 g/cm3 (20 ºC 760 Torr), Calc.*
* Calculated using Advanced Chemistry Development (ACD/Labs) Software V11.02 (©1994-2016 ACD/Labs)
Market Analysis Reports
List of Reports Available for Cellohexaitol
Related Products
Cephalexin monohydrate  Cephalins brain  Cephalocyclidin A  Cellobial  Cellobiosan hexaacetate  D-(+)-Cellobiose  D-(+)-Cellobiose  alpha-D-Cellobiose octaacetate  Cellobiuronic acid  Celloheptaose  Cellopentaitol  Cellopentaose  Cellotetraose  Cellotriitol  Cellotriose  Cellstain Calcein-AM  beta-Cell tropin (human)  Cellulase  Celluloid  Cellulose acetate