| 厦门志信化学有限公司 | 中国 | 询价快递 | ||
|---|---|---|---|---|
![]() |
+86 13806087780 | |||
![]() |
sale@simagchem.com | |||
| 化学品生产商 (2002年起) | ||||
| chemBlink 标准供应商 (2008年起) | ||||
| Praevideo LLC | 匈牙利 | 询价快递 | ||
|---|---|---|---|---|
![]() |
+36 (1) 347-0332 | |||
![]() |
info@praevideo.hu | |||
| 化学品生产商 | ||||
| chemBlink 标准供应商 (2008年起) | ||||
| 艾臣科技有限公司 | 中国 | 询价快递 | ||
|---|---|---|---|---|
![]() |
+86 (755) 3333-0822 | |||
![]() |
marketing@arshine.com.cn | |||
| 化学品生产商 | ||||
| chemBlink 标准供应商 (2010年起) | ||||
| 合肥天健化工有限公司 | 中国 | 询价快递 | ||
|---|---|---|---|---|
![]() |
+86 (551) 6541-8684 | |||
![]() |
sales@tnjchem.com | |||
| 化学品生产商 (2001年起) | ||||
| chemBlink 标准供应商 (2010年起) | ||||
| Aajiang Jiuzhou Chem Co., Ltd. | 中国 | 询价快递 | ||
|---|---|---|---|---|
![]() |
+86 13454675544 | |||
![]() |
jamie@jiuzhou-chem.com | |||
![]() |
QQ 交谈 | |||
![]() |
微信交流: +86 18632988332 | |||
![]() |
WhatsApp: +86 18632988332 | |||
| 化学品生产商 (2007年起) | ||||
| chemBlink 标准供应商 (2023年起) | ||||
| Whyte Chemicals | 英国 | 询价快递 | ||
|---|---|---|---|---|
![]() |
+44 (20) 8346-5946 | |||
![]() |
sales@whytechemicals.co.uk | |||
| 化学品供销商 | ||||
| Chemos GmbH & Co. KG | 德国 | 询价快递 | ||
|---|---|---|---|---|
![]() |
+49 871-966346-0 | |||
![]() |
chemos@chemos.de | |||
| 化学品供销商 | ||||
| 产品分类 | 分析化学 >> 标准品 >> 食品和饮料标准品 |
|---|---|
| 英文名 | Calcium ascorbate dihydrate |
| 别名 | Ascorbic acid calcium salt dihydrate |
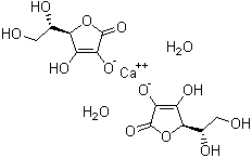
| 产品名称 | 抗坏血酸钙 |
| 分子结构 | ![]() |
| 分子式 | C12H14CaO12.2(H2O) |
| 分子量 | 426.34 |
| CAS 登录号 | 5743-28-2 |
| EC 号码 | 611-529-7 |
| SDS | 化学品安全技术说明书参考文本 |
|---|---|
| 市场分析报告 |
| 请浏览抗坏血酸钙市场分析报告总目录 |