Online Database of Chemicals from Around the World

L-Aspartic acid-13C4
[CAS# 55443-54-4]

List of Suppliers
Shanghai Zzbio Co., Ltd. China Inquire  
+86 15102117276
3001090745@qq.com
info@zzsrm.com
QQ chat
Chemical distributor since 2013
chemBlink standard supplier since 2021
Complete supplier list of L-Aspartic acid-13C4
Identification
Name L-Aspartic acid-13C4
Synonyms (2S)-2-amino(1,2,3,4-13C4)butanedioic acid
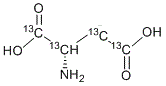
Molecular Structure CAS # 55443-54-4, L-Aspartic acid-<sup>13</sup>C<sub>4</sub>, (2S)-2-amino(1,2,3,4-13C4)butanedioic acid
Molecular Formula 13C4H7NO4
Molecular Weight 137.07
CAS Registry Number 55443-54-4
EC Number 693-739-9
SMILES O[13C]([13C@](N)([H])[13C]([H])([H])[13C](O)=O)=O
Market Analysis Reports
List of Reports Available for L-Aspartic acid-13C4
Related Products
L-alpha-Aspartyl-L-alanyl-L-alpha-glutamyl-L-phenylalanyl-L-arginyl-L-histidyl-L-alpha-aspartyl-L-serylglycyl-L-tyrosyl-L-alpha-glutamyl-L-valyl-L-histidyl-L-histidyl-L-glutaminyl-L-lysyl-L-leucyl-L-valyl-L-phenylalanyl-L-phenylalanyl-L-alanyl-L-alpha-glutamyl-L-alpha-aspartyl-L-valylglycyl-L-cysteinyl-L-asparaginyl-L-lysylglycyl-L-alanyl-L-isoleucyl-L-isoleucylglycyl-L-leucyl-L-methionyl-L-valylglycylglycyl-L-valyl-L-valine bimol. (26→26')-disulfide  L-alpha-Aspartyl-L-alanyl-L-alpha-glutamyl-L-phenylalanyl-L-arginyl-L-histidyl-L-alpha-aspartyl-L-serylglycyl-L-tyrosyl-L-alpha-glutamyl-L-valyl-L-histidyl-L-histidyl-L-glutaminyl-L-lysyl-L-leucyl-L-valyl-L-phenylalanyl-L-phenylalanyl-L-alanyl-L-alpha-glutamyl-L-alpha-aspartyl-L-valylglycyl-L-seryl-L-asparaginyl-L-lysylglycyl-L-alanyl-L-isoleucyl-L-isoleucylglycyl-L-leucyl-S,S-dioxido-L-methionyl-L-valylglycylglycyl-L-valyl-L-valyl-L-isoleucyl-L-alanine  L-Asparaginyl-L-tyrosyl-L-alanyl-L-arginyl-L-threonyl-L-alpha-glutamyl-L-alpha-aspartyl-L-phenylalanyl-L-phenylalanine  L-Asparaginyl-L-tyrosyl-L-lysyl-L-arginyl-L-cysteinyl-L-phenylalanyl-L-prolyl-L-valyl-L-isoleucine  Asparanin B  Aspartame  DL-Aspartic acid  L-Aspartic-15N acid  L-Aspartic acid  D-Aspartic acid  L-Aspartic acid benzyl ester  L-Aspartic acid 4-benzyl ester  D-Aspartic acid bis(1,1-dimethylethyl) ester hydrochloride  L-Aspartic acid 4-cyclohexyl ester  L-Aspartic acid dibenzyl ester hydrochloride  L-Aspartic acid dibenzyl ester 4-toluenesulfonate  D-Aspartic acid dibenzyl ester p-toluenesulfonate  L-Aspartic acid diethyl ester hydrochloride  D-Aspartic acid dimethyl ester hydrochloride  DL-Aspartic acid dimethyl ester hydrochloride