Online Database of Chemicals from Around the World

Atropine sulfate
[CAS# 55-48-1]

List of Suppliers
Asia Talent Chemical Limited China Inquire  
+86 (755) 8665-5561
jeffreyxu@atchem.net
sinochemxu@hotmail.com
asiatalentchem@gmail.com
Skype Chat
QQ chat
Chemical manufacturer
chemBlink standard supplier since 2007
Nanjing MSN Chemical Co., Ltd. China Inquire  
+86 (25) 5701-5632
+86 18013328036
info@msnchem.com
Skype Chat
QQ chat
Chemical manufacturer since 2013
chemBlink standard supplier since 2008
Hefei TNJ Chemical Industry Co., Ltd. China Inquire  
+86 (551) 6541-8684
sales@tnjchem.com
Chemical manufacturer since 2001
chemBlink standard supplier since 2010
BOC Sciences USA Inquire  
+1 (631) 485-4226
info@bocsci.com
Chemical manufacturer
chemBlink standard supplier since 2010
Hangzhou Leap Chem Co., Ltd. China Inquire  
+86 (571) 8771-1850
market19@leapchem.com
QQ chat
Chemical manufacturer since 2006
chemBlink standard supplier since 2015
Santa Cruz Biotechnology, Inc. USA Inquire  
+1 (831) 457-3800
scbt@scbt.com
Chemical manufacturer
Avonchem/Chromos Express Ltd. UK Inquire  
+44 (1625) 434-300
info@avonchem.co.uk
Chemical manufacturer
Complete supplier list of Atropine sulfate
Identification
Classification Pharmaceutical intermediate >> Heterocyclic compound intermediate >> Pyrazines
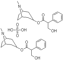
Name Atropine sulfate
Synonyms (8-Methyl-8-azabicyclo[3.2.1]oct-3-yl) 3-hydroxy-2-phenyl-propanoate sulphate
Molecular Structure CAS # 55-48-1, Atropine sulfate, (8-Methyl-8-azabicyclo[3.2.1]oct-3-yl) 3-hydroxy-2-phenyl-propanoate sulphate
Molecular Formula 2(C17H23NO3).H2SO4
Molecular Weight 676.82
CAS Registry Number 55-48-1
EC Number 200-235-0
Safety Data
Hazard Classification
up    Details
HazardClassCategory CodeHazard Statement
Acute toxicityAcute Tox.2H300
Acute toxicityAcute Tox.2H330
Acute toxicityAcute Tox.4H302
Acute toxicityAcute Tox.1H330
Market Analysis Reports
List of Reports Available for Atropine sulfate
Related Products
Atranorin  Atrasentan  Atrasentan hydrochloride  Atraton  Atrazine  Atrial natriuretic factor (5-27)  Atrial natriuretic factor (5-28)  Atrial natriuretic peptide-28 (human reduced)  Atropic acid  Atropine  Atropine sulfate monohydrate  Attapulgite clays  Aucubigenin  Aucubigenin 1-O-beta-gentiobioside  Aucubin  Auphen  Auranofin  Aurantiamide  Aurantimycin A  Aurantiol