Online Database of Chemicals from Around the World

(OC-6-11)-Tris(1,2-ethanediamine-N,N')cobalt tris[bis(N,N-diethylbenzenamine)tetrakis(thiocyanato-N)chromate]
[CAS# 53078-35-6]

Identification
Classification Organic raw materials >> Amino compound >> Cycloalkylamines, aromatic monoamines, aromatic polyamines and derivatives and salts
Name (OC-6-11)-Tris(1,2-ethanediamine-N,N')cobalt tris[bis(N,N-diethylbenzenamine)tetrakis(thiocyanato-N)chromate]
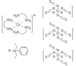
Molecular Structure CAS # 53078-35-6, (OC-6-11)-Tris(1,2-ethanediamine-N,N')cobalt tris[bis(N,N-diethylbenzenamine)tetrakis(thiocyanato-N)chromate]
Molecular Formula 3(C24H30CrN6S4).C6H24CoN6
Molecular Weight 1987.60
CAS Registry Number 53078-35-6
Market Analysis Reports
List of Reports Available for (OC-6-11)-Tris(1,2-ethanediamine-N,N')cobalt tris[bis(N,N-diethylbenzenamine)tetrakis(thiocyanato-N)chromate]
Related Products
Octyldodecyldimethylammonium chloride  2-Octyldodecyl D-xylopyranoside  N-n-Octylethylenediamine  Octylferrocene  5-Octyl-2(5H)-furanone  Octyl alpha-D-galactopyranoside  (OC-6-22)-Tris(benzo[h]quinolin-10-yl)iridium  (OC-6-22)-Tris[2-[1-[3,5-bis(1-methylethyl)[1,1'-biphenyl]-4-yl]-1H-imidazol-2-yl]phenyl]iridium  (OC-6-11)-Tris(1,2-ethanediamine-N,N')cobalt(3+) (OC-6-11)-tris(1,2-ethanediamine-N,N')rhodium(3+) chloride (1:1:6)  (OC-6-11)-Tris(1,2-ethanediamine)cobalt trichloride dihydrate  (OC-6-22)-Tris[5-fluoro-2-(1-isoquinolinyl)-4-methylphenyl]iridium  (OC-6-11)-Tris(2,4-pentanedionato-O,O')lutetium monohydrate  Octrizole  (OC-6-11)-Ttris(2,4-pentanedionato-O,O')holmium monohydrate  2-Octyl-2H-isothiazol-3-one  Octyl 2-acetamido-3,4,6-tri-O-acetyl-2-deoxy-beta-D-glucopyranoside  Octyl acetate  Octyl acrylate  Octyl-agarose  N-(Octylamidopropyl)-N,N-dimethylammonium betaine